网站首页  词典首页


请输入您要查询的字词:

 

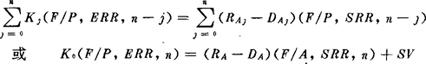
字词 外部收益率(ERR)
类别 中英文字词句释义及详细解析
释义 外部收益率(ERR)

指投资的未来值与再投资的净收益累积值相等时的收益率。

但要假定所回收的资金可以用于具有再投资收益要求的(通常等于标准收益率)重复投资。

式中:Kj和K0分别为在第j年的投资和一次性的初始投资;RA,、DAj表示分别为在第j年的收入和支出;RA、DA表示为平均年收入和支出。

随便看

 

离鸟网收录3541549条中英文词条,其功能与新华字典、现代汉语词典、牛津高阶英汉词典等各类中英文词典类似,基本涵盖了全部常用中英文字词句的读音、释义及用法,是语言学习和写作的有利工具。

 

Copyright © 2004-2024 vtrois.com All Rights Reserved
更新时间:2026/4/21 16:25:56