网站首页  词典首页


请输入您要查询的字词:

 

字词 复数的模的运算性质
类别 中英文字词句释义及详细解析
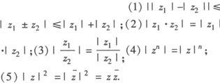
释义 复数的模的运算性质

例1 计算(6—3i)+(3+2i)—(3—4i)—(—2+i).

解 (6—3i)+(3+2i)—(3—4i)—(—2+i)

=[6+3—3—(—2)]+[—3+2—(—4)—1]i

=8+2i.

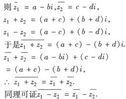
解 设z1=a+bi,z2=c+di(a、b、c、d∈R)

例3 复数z1=1+2i,z2=—2+i,z3=—1—2i,它们在复平面上的对应点是一个正方形的三个顶点,求这个正方形的第四个顶点对应的复数.

解 利用原点O正好是正方形ABCD的中心来解.因为点A与点C关于原点对称,所以原点O为正方形的中心,于是(—2+i)+(x+yi)=0,

∴x=2,y=—1.

故点D对应的复数为2—i.

根据题意画图得到的结论,不能代替论证,然而通过对图形的观察,往往能起到启迪解题思路的作用.

例4 在复数集C中,已知方程x2—(2i—1)x+3m—i=0有实根,求实数m的值.

解 原方程有实根,不妨设其实根为α,根据方程的根的定义及复数相等的定义,可列出关于α与m的方程组.

设方程的实根为α,则

α2—(2i—1)α+3m—i=0,

即(α2+α+3m)—(2α+1)i=0.

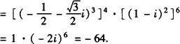
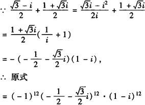
解 直接计算十分困难,应设法将它转化为i,1±i,的乘方进行计算.

随便看

 

离鸟网收录3541549条中英文词条,其功能与新华字典、现代汉语词典、牛津高阶英汉词典等各类中英文词典类似,基本涵盖了全部常用中英文字词句的读音、释义及用法,是语言学习和写作的有利工具。

 

Copyright © 2004-2024 vtrois.com All Rights Reserved
更新时间:2026/4/19 11:22:59