网站首页  词典首页


请输入您要查询的字词:

 

字词 复合函数的导数
类别 中英文字词句释义及详细解析
释义 复合函数的导数

法则4 复合函数对自变量的导数,等于已知函数对中间变量的导数,乘以中间变量对自变量的导数,即y′x=y′u·u′x

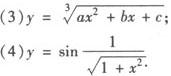
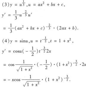
例 下列函数是由一些简单的函数复合而成的,写出它们的复合过程,并求出它们关于x的导数.

(1)y=(x2+2x)3

(2)y=e5+4x2

解 中间变量的设置,以基本初等函数为最小单位,直接利用基本公式表求导.

(1)y=u3,u=x2+2x,y′=3u2·u′

=3(x2+2x)2(x2+2x)′

=3(x2+2x)2(2x+2).

(2)y=eu,u=5+4x2

y′=eu·u′=e5+4x2·8x.

随便看

 

离鸟网收录3541549条中英文词条,其功能与新华字典、现代汉语词典、牛津高阶英汉词典等各类中英文词典类似,基本涵盖了全部常用中英文字词句的读音、释义及用法,是语言学习和写作的有利工具。

 

Copyright © 2004-2024 vtrois.com All Rights Reserved
更新时间:2026/4/20 3:08:32