网站首页  词典首页


请输入您要查询的字词:

 

字词 复变函数的积分
类别 中英文字词句释义及详细解析
释义 复变函数的积分

设f(x)=u(x、y)+iv(x、y),c是复平面上的已定向的曲线则

复变函数的积分具有与实变函数积分相似的性质。

12.3.1 解析函数积分的基本定理

❶ 设函数f(z)在域D内解析,c是域D内任一条简单闭曲线,则

❷ 设f(z)是单连通域D内的解析函数,Φ′(z)=f(z),z0z为D内任意二点,则

Φ(z)称为f(z)的一个原函数。

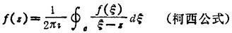
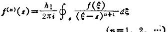
12.3.2 基本公式

设函数f(z)在D域内解析,并在闭域=D+C上连续,则在域D内有下列公式:

C取正方向。

随便看

 

离鸟网收录3541549条中英文词条,其功能与新华字典、现代汉语词典、牛津高阶英汉词典等各类中英文词典类似,基本涵盖了全部常用中英文字词句的读音、释义及用法,是语言学习和写作的有利工具。

 

Copyright © 2004-2024 vtrois.com All Rights Reserved
更新时间:2026/4/19 9:11:38