网站首页  词典首页


请输入您要查询的字词:

 

字词 增量的效益-成本比率
类别 中英文字词句释义及详细解析
释义 增量的效益-成本比率

无论是企业的生产,还是政府提供公共物品,都涉及资源分配问题。

从理论上讲,任何商品的生产或提供数量应该达到该商品的边际社会成本与其边际社会效益相等的水平。

一种商品的私人边际成本、经济成本包括生产者所承担的所有外显成本和内含成本,而边际社会成本与私人边际成本的区别在于外部成本(第三方成本),包括因其他商品生产的减少或停止而对消费者产生的价值。同样,边际社会效益也是私人边际效益与外部边际效益(第三方效益)之和。私人效益是直接支付该商品的人所得到的效益,而外部效益是由买主或非买主得到的效益。

如果各种效益和成本都能赋予一个货币值的话,可以很容易说明商品量应该达到边际社会成本与边际社会效益相等的最优化准则。对于厂商来说,这个准则就是利润最大化原则的扩展,对于政府部门的决策者来说,只不过就是用相应的“社会效益”与“社会成本”代替收益与成本。用总的社会效益减去总的社会成本就是净社会效益。

附图中画出了总社会效益(TSB)曲线和总社会成本(TSC)曲线,它们都是公共物品X的递增函数。

在QX*水平上,净效益最大,边际社会效益与边际社会成本相等,所以在下面的图中两条曲线相交。由于这两条曲线的斜率保证一旦产量水平在于QX*,增加的社会成本就会大于社会效益,所以在此产量水平上,生产这种物品的净社会效益最大。从理论上讲,所有的商品都要达到MSB=MSC条件时,全社会资源最佳分配才能实现。

如果以两种商品X和Y来说明,其成本和效益都以货币单位来计量,假定MSBX=MSCX=20,MSBY=MSCY=40,显然,就有:

假定下列条件存在:

1.所有资源被充分利用;

2.随著每种商品生产量的增加,边际社会成本会下降;

3.当一单位X为20元,一单位Y为40元时,边际社会成本不变。

如果多生产一单位Y,将产生40元的边际社会成本,意味著必须放弃两个单位的X的生产。因为随著X数量的减少,MSBX上升,随著Y数量的增加,MSBY下降,其结果必定为:

以上面的例子来说,可能就有

这个比率的含义就是长期中生产要素的替代:对于新的产品组合来说,从多花在产品X上的1元支出价值所得到的社会效益为22/20=1.10元,而在产品Y的资源上少花1元所造成的社会损失为38/40=0.95元。显然,此时的资源配置是不当的。

应该减少Y的生产、增加X的生产,直至达到MSBX/MSCX=MSBY/MSCY=1的水平。

应该看到,边际社会成本可能会随著商品生产量的增加而增加,生产量的减少而减少。这个更现实的前提条件不会改变上面两个不等式的方向,因为MSCX将小于20,MSCY将大于40。

在上例中,随著产品产量的扩大,边际社会效益降低与边际社会成本的增加同时存在。

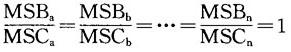
综上所述,对于既定的收入分配来说,存在n种商品的高效率的资源分配条件是:

这个条件意味著增加1元钱用于商品的生产会得到1元钱的社会效益。

背离这个条件就会导致某种商品生产过多,而其他商品生产过少。

对于公共物品生产来说,只有在MSBj/MSCj≥1时增加产量才是可行的,也就是说,只有当一项活动的增量社会效益超过增量社会成本时,这项活动才有理由进行。

MSB/MSC被称为增量的效益-成本比率,在成本-效益分析中用于确定某项公共部门活动或某个项目的最优规模。

随便看

 

离鸟网收录3541549条中英文词条,其功能与新华字典、现代汉语词典、牛津高阶英汉词典等各类中英文词典类似,基本涵盖了全部常用中英文字词句的读音、释义及用法,是语言学习和写作的有利工具。

 

Copyright © 2004-2024 vtrois.com All Rights Reserved
更新时间:2026/4/18 1:50:30