网站首页  词典首页


请输入您要查询的字词:

 

字词 增根
类别 中英文字词句释义及详细解析
释义 增根

使原分式方程的分母为零的根,称为原方程的增根.

注意 1.产生增根的原因是我们在分式方程两边同乘了一个使分母为零的整式.

2.因为解分式方程可能产生增根,所以解分式方程必须检验.

3.验根的方法有两种,一种是把求得的未知数的值代入原方程进行检验,这种方法可以检查解方程时有无计算错误,另一种是把求得的未知数的值代入最简公分母,看最简公分母的值是否等于零,但这种方法难以检查出解方程中出现的计算错误.

例1 解分式方程:

解 方程两边都乘以(x-3),

得 2-x=-1-2(x-3).化简整理

得 x=3.

检验 当x=3时,x-3=0.

所以 x=3是增根.

所以原方程无解.

注意 分式方程转化为整式方程时,方程两边都乘以最简公分母,注意不要漏乘分母是1的项,同时,检验是解分式方程必不可少的步骤.

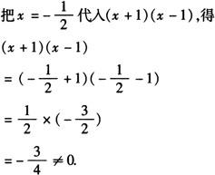
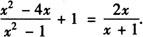
例2 解分式方程:

解 方程两边都乘以(x+1)(x-1)得x2-4x+(x+1)(x-1)=2x(x-1).

化简整理得x=-1/2.

检验:

所以x=-1/2是原方程的根.

例3 若关于x的方程有增根,则m=__.

答 2.

[解析] 方程有增根,则此增根一定使最简公分母为0,并且此增根是分式方程去分母后所得的整式方程的根

方程两边都乘以(x-2),得m+4x=10

∴x-2=0,∴x=2,∴m=2.

随便看

 

离鸟网收录3541549条中英文词条,其功能与新华字典、现代汉语词典、牛津高阶英汉词典等各类中英文词典类似,基本涵盖了全部常用中英文字词句的读音、释义及用法,是语言学习和写作的有利工具。

 

Copyright © 2004-2024 vtrois.com All Rights Reserved
更新时间:2026/4/20 12:37:42