网站首页  词典首页


请输入您要查询的字词:

 

字词 填料留著率的计算
类别 中英文字词句释义及详细解析
释义 填料留著率的计算

所谓填料留著率,是指纸张中所含的填料量与加入浆料中填料量的百分比值,可按以下几个式子进行计算:

1.近似值式

式中 R——纸中填料留著率(%)

A——绝干纸中灰分含量(%)

B—绝干纸浆中灰分含量(%)

上述计算法未考虑填料灼烧重量损失、纤维本身灰分及纤维流失等因素,其所求得的留著率为一近似值。

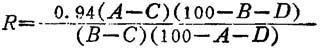
2.精确值式

式中 R——纸中填料留著率(%)

A——绝干纸中灰分含量(%)

B——绝干纸浆中灰分含量(%)

C——纤维的灰分含量(%)

D——填料的灼烧重量损失(%)

0.94——校正系数

在实际生产中,是有少量纤维流失的,一般为6%左右,因此式中应乘上0.94的校正系数。近似值比精确值要高一些,相差值—般为10~12%。—般填料在灼烧时的重量损失如表10—4—45所示。

表10—4—45

根据一般的分析结果,各种纸浆的灰分含量大致如表10—4—46所示。

表10—4—46

3.单程留著率

上述填料留著率的计算方法涉及灼烧、冷却和衡重等手续,操作繁琐。近年来,多趋向于确定单程留著率,以取得填料留著率以及其他添加剂留著率的近似值,用以指导生产。

单程留著率的定义为:不考虑白水回收,单程留著率为填料从网前箱通过网部而在纸幅上所保留的填料量的比例。

单程留著率的计算方法有如下式所示。

式中 Rt——单程留著率(%)

C——湿纸幅离开伏辊处的干度(%)

T——网部白水的浓度(%)

H——网前箱浆料浓度(%)

X——湿纸幅离开伏辊处的总量与上网纸料液总量之比

Y——网部白水总量与上网纸料液总量之比

单程留著率与总留著率之间的关系如表10—4—47所示,它是与白水封闭循环的程度有关的。表中的数据也说明了白水封闭循环的重要性。

表10—4—47

随便看

 

离鸟网收录3541549条中英文词条,其功能与新华字典、现代汉语词典、牛津高阶英汉词典等各类中英文词典类似,基本涵盖了全部常用中英文字词句的读音、释义及用法,是语言学习和写作的有利工具。

 

Copyright © 2004-2024 vtrois.com All Rights Reserved
更新时间:2026/4/18 4:58:48