网站首页  词典首页


请输入您要查询的字词:

 

字词 基本确定年金
类别 中英文字词句释义及详细解析
释义 基本确定年金

(一)利率与贴现率

期初投入的一笔资金在单位时间(如1年)所生利息与本金之比,称为实际利率,通常简称利率,以i表示。

期末投入的一笔资金在单位时间(如1年)所生利息与本金之比,称为实际贴现率,通常简称贴现率,以d表示。

贷款1:甲向银行借入100元钱,期限1年,利率6%。意味著银行立即付给甲100元;而在1年末甲还给银行100元本金并支付6元利息,合计106元,即终值为106元。

贷款2:甲向银行借入100元钱,期限1年,贴现率6%。意味著银行立即付给甲94元,即扣除6元利息后的100元;而在1年末甲还给银行100元,即终值为100元。

若以某个利率和某个贴现率投入相同的本金在相同的时间产生了相同的终值,则称该利率与该贴现率相等。设利率为i,贴现率为d,终值为1元,时间为一个单位(如1年)。则由贴现的含义(见贷款2),得本金为(1-d)元。根据利率与贴现率相等的概念得,(1-d)元的本利和为1元,即,

(1-d)(1+i)=1 (3-2-1)

(1+i)-d(1+i)=1

d(1+i)=i

第n期末支付的1元在n时点的本利和为1元,第(n-1)期末支付的1元在n时点的本利和为(1+i)元(其中i表示利率),第(n-2)期末支付的1元在n时点的本利和为(1+i)2元,依此类推,第1期末支付的1元在n时点的本利和为(1+i)n-1元。所以,期末付年金的终值为,

由等比级数求和公式得,

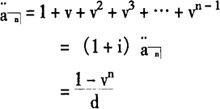
类似于期末付年金终值公式的推导,将每个支付额在n时点的本利和相加,得期初付年金的终值为,

等比数列求和得,

其中,d=i/(1+i)=1-v=iv,是贴现率。

同理,每期初支付1元、共支付n期的年金在计量期初(0时点)的贴现值称为期初付年金的现值,记为,如图3-2-2。期初付年金的现值为,

显然,

随便看

 

离鸟网收录3541549条中英文词条,其功能与新华字典、现代汉语词典、牛津高阶英汉词典等各类中英文词典类似,基本涵盖了全部常用中英文字词句的读音、释义及用法,是语言学习和写作的有利工具。

 

Copyright © 2004-2024 vtrois.com All Rights Reserved
更新时间:2026/4/20 23:32:09