网站首页  词典首页


请输入您要查询的字词:

 

字词 基本概念
类别 中英文字词句释义及详细解析
释义 基本概念

1.1.1 内力与内力图

由于外力作用,在杆件的各部分之间引起的相互作用力,称为内力。

一般情况下,内力有六个分量,如图1.3-1,它们分别对应著某种基本变形。其中有:

轴力(N),是与杆件的伸长、缩短变形有关的内力;

剪力(Qy),是与杆件的剪切变形有关的内力;

扭矩(MT),是与杆件扭转变形有关的内力;

弯矩(My,Mz),是与杆件弯曲变形有关的内力。

截面法是求内力的方法,其求解步骤可概括为;

切——沿欲求的截面,假想地将杆件切分为二;

代——选其中一部分为研究对象,以内力代替去掉部分外力对保留部分的作用;

平——分析研究对象在内力、外力作用下的平衡,通过求解平衡方程得出截面内力。

内力方程和内力图 一般情况下,内力随截面位置(坐标x)改变而变化,变化规律的函数表达式,即为内力方程。例如:

轴力方程:N(x)=x截面一侧所有外力沿x投影的代数和;

扭矩方程:Mf(x)=x截面一侧所有外力对x轴之矩的代数和;

剪力方程:Q(x)=x截面一侧所有外力沿y轴(或z轴)投影的代数和;

弯矩方程:M(x)=x截面一侧所有外力对过截面形心的y轴(或z轴)之矩的代数和。

用坐标系描绘内力方程的函数图象,即为内力图,如轴力图、扭矩图、剪力图和弯矩图。关于内力的正负规定、内力方程和内力图的典型举例见表1.3-1。

表1.3-1 内力方程、内力图举例

1.1.2 材料的机械性质

材料的机械性质。主要是指材料在外力作用下表现出来的变形和破坏时的特性。工程上是通过常温、静载下的拉伸和压缩试验测定的。

(1)杆件在拉伸和压缩时的应力和变形

杆件在拉伸(或压缩)时,其横截面有均布的正应力

单位长度的变形,称为相对变形或称线应变,用ε表示,即

圆试件(图a);l=10d或l=5d

式中 l为标距,试件的工作段长度;d为试件横截面直径。

平板试件(图b):

式中 A为试件横截面面积。

低碳钢在拉伸时可测得P-△l曲线,如图1.3-5(a)所示,称为拉伸图,将纵坐标P除以试件横截面面积A,将横坐标△l除以标距l,即得σ-ε曲线,称为应力-应变图,如图1.3-5(b)所示。

a)低碳钢试件的拉伸图

b)应力应变图

低碳钢拉伸时的机械性质概括列于表1.3-2。

表1.3-2 低碳钢拉伸时的机械性质

1.1.3 强度条件与刚度条件

(1)极限应力、许用应力和安全系数

极限应力σu 塑性材料σus(或σo.2)

脆性材料σob

许用应力,塑性材料

脆性材料

选定安全系数时,必须考虑到材料的均匀性、估载的准确性、计算简图与实际受力结构的差异以及构件的重要程度、工作条件等因素。一般静载时,塑性材料s=1.2~2.5;脆性材料s=2~3.5。当构件受动载荷或载荷难以确定时,塑性材料还需将s增大1.15~1.5倍,脆性材料将s增大1.5~2.0倍。

(2)强度条件

当构件危险点为单向应力状态时,其强度条件为 σmax≤〔σ〕

当构件危险点为纯剪切应力状态时,其强度条件为 τmax≤〔τ〕

当构件危险点为复杂应力状态时,其强度条件为 σea≤〔σ〕

式中 σea为相当应力,详见本章1.1.4。

(3)刚度条件

构件在弹性范围内,其最大变形(位移)必须不大于构件的许可变形(位移),即

max≤〔△〕

式中 △max为构件工作时的最大(广义)位移,相当于拉压杆的△lmax、扭转轴的扭转角θmax和梁的挠度fmax以及转角θmax;〔△〕为许用(广义)位移。

1.1.4 应力状态与强度理论

(1)应力状态的概念与分类

一点的应力状态:指过杆件任一点所有截面上应力变化情况,通常以围绕该点的单元体受力情况加以研究。

主平面与主应力:主平面即单元体中剪应力等于零的截面;主平面上的正应力称主应力。一般情况下,一点单元体只有三个(相互正交)主平面和三个主应力,按代数值排列,σ1≥σ2≥σ3

分类:按主应力不为零的个数分为单向应力状态、二向(平面)应力状态和三向(空间)应力状态。工程实例见表1.3-3。

表1.3-3 应力状态举例

斜截面应力

取坐标系:在0στ坐标中,σ为横轴,τ为纵轴,选好比例尺。

定特征点:Axx,τx)和Ayy,τy),注意σx,σy,τx和τy的正负。

确定圆心:连Ax和Ay交横轴于C点,即为应力圆圆心。

作应力圆:以C为圆心,以CDx为半径作圆,即为所求。

利用单元体和应力圆的点面对应关系,很容易求出任意斜截面的应力(σa,τa)和主应力σ1、σ2和σ3

(3)三向应力状态的应力圆

已知三个主应力σ1、σ2、σ3,则很容易画出三向应力圆,如图1.3-9所示,由应力圆可知,单元体中

(4)广义虎克定律

在线弹性范围(σ≤σp)内,复杂应力状态下的应力、应变关系如表1.3-4。

表1.3-4 广义虎克定律

表1.3-6 静矩、惯矩、惯积和极惯性矩的定义与性质

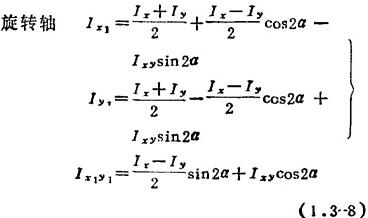
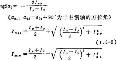
(3)惯矩、惯积的旋转轴公式截面图形如图1.3-12所示。

主惯轴位置与主惯矩

式中Ⅰmax和Ⅰmin为二主惯矩,与Ⅰxo、Ⅰyo二者相对应,至于对哪轴的主惯矩为最大值,由具体情况而定。

随便看

 

离鸟网收录3541549条中英文词条,其功能与新华字典、现代汉语词典、牛津高阶英汉词典等各类中英文词典类似,基本涵盖了全部常用中英文字词句的读音、释义及用法,是语言学习和写作的有利工具。

 

Copyright © 2004-2024 vtrois.com All Rights Reserved
更新时间:2026/4/19 2:43:41