网站首页  词典首页


请输入您要查询的字词:

 

字词 基团转移聚合
类别 中英文字词句释义及详细解析
释义 基团转移聚合

简称(GTP)是美国Du Pont公司的Webste等人首先发现的一新型聚合方法。

1983年首次报导后,立即引起高分子学术界的重视。各国纷纷给予报道和评论,认为这是继30年前Ziegler-Natta发现配位聚合之后,在高分子合成上的又一重大发现。

基团转移聚合应用烯酮硅烷基缩醛(Ketene silyl acetal)或类似化合物作为引发剂,在催化剂存在下,使α、β-不饱和羰基化合物聚合。例如,在负离子催化剂存在下甲基丙烯酸甲酯的GTP反应:

经研究表明其一般机理为,负离子催化剂与引发剂上的硅原子形成超价配位(六配位),使得三甲基硅基向单体的羰基氧进行转移同时发生了Michael加成形成环状过渡态,结果生成新的烯酮硅基缩醛端基,这个过程不断重复经加聚反应以后形成活性聚合物。

因此GTP反应的显著特点是可以控制聚合物分子量和结构形态(architecture)。

机理模式1:

从聚合反应机理上来说GTP是自由基聚合、阳离子聚合、阴离子聚合和配位聚合以外的第5种新型加聚方法。

它较其他聚合方法有更多的优点:它能在室温下迅速反应,形成活性聚合物;经聚合产生的高分子,其分子量分布很窄,接近单分散;通过引发剂和单体比例的调节,能有效地控制聚合物分子量;在活性聚合物中用不同共聚单体可得到嵌段共聚物,星型聚合物等结构形态特殊的聚合物;GTP反应温和,用带有功能性官能团的引发剂可制得相应功能性聚合物或精细高分子(Fine polymers),所以说GTP反应是从分子设计的层次上来制备合成聚合物。

基团转移聚合问世的短短几年以来,国内外许多高分子研究人员,纷纷投入对GTP反应的研究。

目前,研究动向主要集中在机理研究;新型引发剂和催化剂的合成及发现;选用单体的拓宽;功能性精细高分子合成以及制备结构形态特殊的聚丙烯酸酯类共聚物。

GTP反应的机理研究 Webster等发现GTP反应伊始,就提出了其机理研究中的一个基本问题:即三烷基硅基团转移是在负离子亲核催化下游离出硅烷基和烯醇负离子接著对单体进行加成(机理模式2),还是如上所述,亲核催化剂首先与硅原子配位,然后与单体加成(机理模式1)。

机理模式2:

1985年Sogah用加入氟代三烷基硅烷方法,考察其是否与活性链端硅烷基交换,从而否定了机理模式2。根据量子化学计算,催化剂和引发剂配位以后,首先形成碳-碳键,然后再形成六元环或四元环中间体。

因此,Webster推测甲基丙烯酸甲酯进行GTP反应时如机理模式3,但是目前尚未得到证实。

机理模式3∶

另一方面,GTP的动力学研究也很活跃,联邦德国的A.H.E.Müller和F.Bandermann对此作了较多的报道,目前拟研究其他单体如丙烯晴的GTP机理、Lewis acid催化模式、催化剂用量和效率关系、GTP反应在什么条件下会存在诱导期、链转移、链终止等。

GTP的引发剂、催化剂和单体 在GTP反应中最常用的单体是甲基丙烯酸酯:其次是丙烯酸酯;另外有丙烯晴;N,N-二甲基丙烯酰胺;α-亚甲基γ-丁酸内酯等。

由于GTP的独特机理,因而许多对其他聚合方法敏感的基团如环氧基、烯丙基、苯乙烯基均可作为单体的酯基部分引入聚合物,而这些基团仍保持原有活性。

同样可在单体酯基上引入有功能性的基团,例如:具有液晶性能和其他一些大基团进行GTP反应而形成有特殊性能聚(甲基)丙烯酸酯材料。此外,含甲基丙烯酸酯端基的大单体,可通过GTP反应合成“梳形”聚合物。

对于一些含有活性氢的(甲基)丙烯酸β-羟乙酯等进行GTP反应时,一定需要诸如三甲基硅基等保护,以避免活性氢终止链增长。目前GTP适用单体面有限,因此有许多研究人员正在积极寻求发现适用GTP的新单体。

烯酮硅基缩醛作为GTP的常用引发剂。

Sogah等认为只有引发速率(Ki)大于增长速率(Kp)时,才能控制分子量、得到分子量确定分子量分布较窄的聚合物。

引发剂上取代基大小对结果有显著影响,主要表现为GTP反应时引发剂的异构化作用。当取代基R为H时异构化速率足够影响聚合过程。

此外,硅原子上烷基体积大小,对GTP反应的分子量控制和分布都有一定影响。

另一类引发剂如Me3SiCN;Me3SiSR;R2POSiMe3;等硅烷基衍生物,通过与(甲基)丙烯酸酯的共轭加成反应形成烯酮硅基缩醛。因此,GTP的引发阶段包含了两步反应,导致了出现反应诱导期以及分子量控制较差等现象。

已报道的GTP催化剂有两大类:负离子类和Lewis酸类。

负离子类如:;F;CN;其中最常用是(简称TASHF2)。它的催化效率较高,用量一般为引发剂的0.1%mole。

Dicker等发现了许多氧负离子可以作为GTP的催化剂。Lewis酸类催化剂主要是卤化锌和烷基铝化合物。

它们的用量比负离子催化剂高得多,一般为单体的10%~20%mole。研究表明负离子催化剂较适用于甲基丙烯酸酯类单体而Lewis酸类催化剂却适用于丙烯酸酯类单体。

合成功能性精细高分子 由于烯酮硅基缩醛类化合物具有高度的反应区域选择性,所以GTP反应另一特点是在反应过程中,许多活性基团能与之“和平相处”,而在获得聚合物中保持这些基团的原有活性或功能性。从而为合成功能性精细高分子提供了手段。

正如在GTP单体中所述,当(甲基)丙烯酸酯的酯基部分带上些功能性基团,就可获得以聚(甲基)丙烯酸酯为骨架的功能性高分子材料。

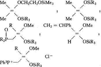
另外一条合成功能性高分子的途径,是在引发剂烯酮硅基缩醛上带有功能性基团。已报道的此类引发剂有:

它们分别引发GTP反应合成了端基-OH;-COOH;-CH=CHPh;R2PO-;的螯形聚合物(Chelic polymers)。当带有功能性基团的引发剂进行GTP反应形成活性聚合物时,用一些合适的偶联试剂如BrCH2C6H4CH2Br;Br2和活性端反应就可制得一系列几乎含100%功能性端基的遥爪型聚合物(Telechlic polymers)。

合成结构形态特殊的聚合物 GTP是一种温和的活性聚合系统,在此系统内,能有效地合成嵌段共聚物、星型聚合物等。通过顺序加料方式,可以得到分子结构较为确定的(甲基)丙烯酸酯类AB型、ABC型嵌段共聚物。如Sogah等人用GTP反应合成了甲基丙烯酸甲酯和甲基丙烯酸月桂酯的AB嵌段共聚物(,D=1.06,理论)。甲基丙烯酸甲酯,甲基丙烯酸丁酯和甲基丙烯酸烯丙酯的ABC嵌段共聚物(,D=1.07;理论)。另外可用双烯酮硅基缩醛官能团引发剂制备ABA嵌段共聚物。

1986年Sogah报道了一种以烯醇硅醚为单体醛类化合物引发剂的活性聚合方式称之为Aldol-GTP拓宽了GTP领域。

合成了分子量可控分布窄的聚乙烯醇。并用此方法得到了聚乙烯醇与聚甲基丙烯酸酯的嵌段共聚物。

在GTP反应中可用arm-first;core-first;或arm-core-arm技术方法来制备(甲基)丙烯酸酯类星型聚合物,用于增韧塑料和涂料使其具有很好柔韧性同时表现较好的硬度。其次星型聚合物可作涂料的流变控制剂。

这些结构形态特殊的聚合物有待进一步研究。

综上所述基团转移聚合作为一种新型加聚技术在国际上方兴未艾,有著广阔的前景,虽然GTP操作要求很高,需要高纯度试剂,高度无水条件以及一些精细操作技术,但是在国内外高分子领域,精细有机合成领域中许多研究者纷纷把眼光瞄准于此,掀起了研究GTP热潮。

很可能开创高分子领域内一种新局面。

【参考文献】:

1 Webster O W,et al. JAmChemSoc, 1983,105:5706

2 Bandermann F,et al. Makromol Chem, Rapid Commun, 1985,6:336

3 Sogah D Y, et al. organosilicon and Bioorganosilicon Chem-istry : Structures, Bonding, Reactivity and synthetic Appli-cation. New York:Wiley,1985. 20

4 Hertler W R, et al. ACS Polymer Preprints, 1986,27:165

5 Sogah,DY, et al. Macromolecules, 1986,19:1775

6 Dicker I B , et al. ACS Polym. Prepr, 1987,28:106

7 Webster O W, et al. NATO ASI Ser Ser C, 1987,215

8 Sogah D Y. Macromolecules, 1987,20:1473

9 Shen Wei-ping, et al. Makromol Chem 1989,190:3061

10 Miiller A H E. et al. Makromol. Chem Macromol Symp 1990,32:87

(上海科学技术大学沈卫平副教授撰)

随便看

 

离鸟网收录3541549条中英文词条,其功能与新华字典、现代汉语词典、牛津高阶英汉词典等各类中英文词典类似,基本涵盖了全部常用中英文字词句的读音、释义及用法,是语言学习和写作的有利工具。

 

Copyright © 2004-2024 vtrois.com All Rights Reserved
更新时间:2026/4/20 22:15:27