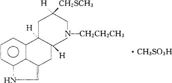
培高利特甲磺酸盐
C19H26N2S·CH4O3S=410.59 CAS-66104-23-2 CAS-66104-22-1(pergolide) (8β)-β-[(甲硫基)甲基]-6-丙基麦角灵,单甲烷磺酸盐。 (8β)-8-[(Methylthio)methyl]-6-propylergoline,monomethansulfonate. 多巴胺激动药。 甲磺酸培高利特。 Pergolide Mesylate,Pergolide Mesylate,LY127809. INN & BAN(Pergolide),USAN.  |