网站首页  词典首页


请输入您要查询的字词:

 

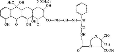
字词 培莫环素
类别 中英文字词句释义及详细解析
释义 培莫环素

C39H43N5O12S=805.86

CAS-16259-34-0

6-[2-[[[4-(二甲氨基)-1,4,4a,5,5a,6,11,12a-八氢-3,6,10,12,12a-五羟-6-甲基-1,11-二氧代-2-并四苯-甲酰胺基]甲基]氨基]-2-苯乙酰胺基]-3,3-二甲基-7-氧代-4-噻-1-氮杂双环[3.2.0]庚烷-2-羧酸。

6-[2-[[[4-(Dimethylamino)-1,4,4a,5,5a,6,11,12a-oetahydro-3,6,10,12,12a-pentahydroxy-6-methyl-1,11-dioxo-2-naphthacenecarboxamido]methyl]amino]-2-phenylacetamido]-3,3-dimethyl7-oxo-4-thia-1-azabicyclo[3.2.0]heptane-2-carboxylic acid.

[α-(四环素-N-甲氨基)-α-苯基乙酰胺基]-6-青霉烷酸。

[α-(Tetracycline-N-methylamino)-α-phenylacetamido]-6-penicillanic acid.

抗生素类药。

Penimocycline,Intraxium,Bo 725.

INN,USAN.

随便看

 

离鸟网收录3541549条中英文词条,其功能与新华字典、现代汉语词典、牛津高阶英汉词典等各类中英文词典类似,基本涵盖了全部常用中英文字词句的读音、释义及用法,是语言学习和写作的有利工具。

 

Copyright © 2004-2024 vtrois.com All Rights Reserved
更新时间:2026/4/18 8:08:02