网站首页  词典首页


请输入您要查询的字词:

 

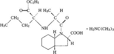
字词 培吲普利甲丙胺
类别 中英文字词句释义及详细解析
释义 培吲普利甲丙胺

C19H32N2O5·C4H11N=441.61

CAS-107133-36-8

[2S-[1-[R*(R*)],2α,3aβ,7aβ]]-1-[2-[[1-(乙氧羰基)丁基]氨基]-1-氧代丙基]八氢-1H-吲哚-2-羧酸,与2-甲基-2-丙烷胺(1∶1)的化合物。

[2S-[1-[-R*(R*)],2α,3aβ,7aβ]]-1-[2-[[1-(Ethoxycarbonyl)butyl]amino]-1-oxopropyl]octahydro1H-indole-2-carboxylic acid,compd.with 2-methyl2-propanamine(1∶1).

(2S,3aS,7aS)-1-[(S)-N-[(S)-羧丁基]丙氨酰]六氢-2-二氢吲哚羧酸1-乙酯与叔-丁胺(1∶1)的化合物。(2S,3aS,7aS)-1-[(S)-N-[(S)-1-Carboxybutyl]alanyl]hexahydro-2-indolinecarboxylic acid,1-ethylester,conpound with tertbutylamine(1∶1).

抗高血压药。

Perindopril Erbumine, S-9490-3, MCN-A-2833-109.

USAN.

随便看

 

离鸟网收录3541549条中英文词条,其功能与新华字典、现代汉语词典、牛津高阶英汉词典等各类中英文词典类似,基本涵盖了全部常用中英文字词句的读音、释义及用法,是语言学习和写作的有利工具。

 

Copyright © 2004-2024 vtrois.com All Rights Reserved
更新时间:2026/4/20 21:07:58