培吲普利
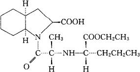
C19H32N2O5=368.47 CAS-82834-16-0 [2S-[1-[R*,(R*)],2α,3aβ,7aβ,]]-1-[2-[[1-(乙氧羰基)丁基]氨基]-1-氧代丙基]八氢-1H-吲哚-2-羧酸。 [2S-[1-[R*,(R*)],2α,3aβ,7aβ,]]-1-[2-[[1-(Ethoxycarbonyl)butyl]amino]-1-oxopropyl]oCtahydro-1H-indole-2-carboxylic acid. (2S,3aS,7aS)-1-[(S)-N-[(S)-1-羧丁基]丙氨酰]六氢-2-二氢吲哚羧酸,1-乙酯。 (2S,3aS,7aS)-1-[(S)-N-[(S)-1-Carboxybutyl]alanyl]hexahydro-2-indolinecarboxylic acid,1-ethylester. 抗高血药,酶抑制药(血管紧张素)。 Perindopril,S-9490,McN-A-2833. INN,BAN,DCF,USAN.  |