网站首页  词典首页


请输入您要查询的字词:

 

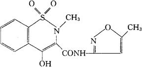
字词 埃索昔康[中]
类别 中英文字词句释义及详细解析
释义 埃索昔康[中]

C14H13N3O5S=335.33

CAS-34552-84-6

4-羟-2-甲基-N-(5-甲基-3-异噁唑基)-2H-1,2-苯并

噻嗪-3-甲酰胺1,1-二氧化物。

4-Hydroxy-2-methyl-N-(5-methyl-3-isoxazolyl)-2H-1,2-benzothiazine-3-carboxamide 1,1-dioxide.

消炎镇痛药。

伊索昔康,异噁噻酰胺。

Isoxicam Maxicam,Parke.

INN,BAN,DCF,DCIT,USAN,MI.

随便看

 

离鸟网收录3541549条中英文词条,其功能与新华字典、现代汉语词典、牛津高阶英汉词典等各类中英文词典类似,基本涵盖了全部常用中英文字词句的读音、释义及用法,是语言学习和写作的有利工具。

 

Copyright © 2004-2024 vtrois.com All Rights Reserved
更新时间:2026/4/18 15:49:34