网站首页  词典首页


请输入您要查询的字词:

 

字词 埃克曼输送
类别 中英文字词句释义及详细解析
释义 埃克曼输送

由埃克曼漂流引起的海水体积运输。

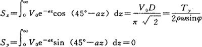
在无限深海的情况下,由流速公式对深度的积分可分别求得沿x方向和y方向的体积运输分量为

上式说明,在无限深海的情况下,由风海流引起的体积运输与风向垂直,北半球向右,南半球向左。对于浅海可以用同样的方法求得,但计算结果表明,其体积输运不仅有与风向垂直的部分,还有沿风向或背风向的体积运输。

随便看

 

离鸟网收录3541549条中英文词条,其功能与新华字典、现代汉语词典、牛津高阶英汉词典等各类中英文词典类似,基本涵盖了全部常用中英文字词句的读音、释义及用法,是语言学习和写作的有利工具。

 

Copyright © 2004-2024 vtrois.com All Rights Reserved
更新时间:2026/4/19 5:33:54