网站首页  词典首页


请输入您要查询的字词:

 

字词 垂径定理的逆定理
类别 中英文字词句释义及详细解析
释义 垂径定理的逆定理

平分弦(不是直径)的直径垂直于弦,并且平分弦所对的弧.

例1 如图☉O中,直径MN垂直于弦AB,垂足为C.

图中相等的线段有__相等的劣弧__.

答 OM=ON

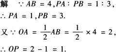
例2 ☉O中,CD为弦,AB为直径,且CD⊥AB,垂足为P,AB=4,PA∶PB=1∶3,求OP和CD的长.

连接OC,在Rt△OCP中,OC=OA=2OP=1,根据勾股定理可得

根据垂径定理可知,∴CD=2

例3 ☉O中,M、N是弦AB、CD的中点,

若∠AMN=∠CNM,

求证:OM=ON.

证明 ∵M为AB中点,O为圆心,

∴OM⊥AB,∴∠OMA=90°.

同理可证∠ONC=90°.

∴∠OMA=∠ONC.

又∵∠AMN=∠CNM,

∴∠OMN=∠ONM.

∴OM=ON.

例4 公路MN和公路PQ在点P处交汇,且∠QPN=30°,点A处有一所中学,AP=160m,假设拖拉机行驶时,周围100m以内会受到噪声的影响,那么拖拉机在公路MN上沿PN方向行驶时,学校是否会受到噪声影响?请说明理由,如果受影响,已知拖拉机的速度为18km/h,那么学校受影响的时间为多少秒?

解 过A点作AB⊥MN于B点.

∵∠QPN=30°,PA=160m.

∴AB=80m<100m.

∴学校会受到噪声影响.

以A为圆心,以100m为半径作☉A与MN交于C、D两点,连接AC,根据勾股定理可得BC=60m.

再根据垂径定理可知CD=2BC=120m.

答 学校受影响时间为24s.

随便看

 

离鸟网收录3541549条中英文词条,其功能与新华字典、现代汉语词典、牛津高阶英汉词典等各类中英文词典类似,基本涵盖了全部常用中英文字词句的读音、释义及用法,是语言学习和写作的有利工具。

 

Copyright © 2004-2024 vtrois.com All Rights Reserved
更新时间:2026/4/18 4:48:26