均方差
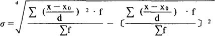
又叫标准差(σ)。 它是总体单位各标志值(x)与其平均数( )的离差平方的算术平均数的平方根。其计算公式如下:  式中:n表示总体单位数。 在次数分配数列条件下:  式中:f表示各组的单位数(次数)。 当标志数值很大时,为简化起见,可直接假定任意数x0为算术平均数,应用以下简捷法计算标准差: 在资料未经分组时:  在等距数列的情况下:  式中:d表示组距。 在异距数列时,可采用资料已分组的方法。 由于标准差采用了平方的方法来消除离差的正负号,比较符合数学要求。所以在统计研究中广泛用它来说明次数分配的离散趋势。但由于它是一个有计量单位(与平均数相同)的绝对指标,它的大小不仅取决于标志值的离散程度,还取决于数列水平的高低。 因而对于不同平均水平的数列或总体,就不宜直接通过标准差,来比较其标志变动度的大小。 |