网站首页  词典首页


请输入您要查询的字词:

 

字词 地那扎封
类别 中英文字词句释义及详细解析
释义 地那扎封

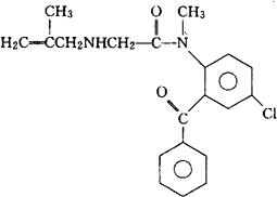
C20H21ClN2O2=356.55

CAS-71119-12-5

2′-苯甲酰-4′-氯-N-甲基-2-[(2-甲基烯丙基)氨基]乙酰苯胺。

2′-Benzoyl-4′-chloro-N-methyl-2-[(2-methylallyl)amino]acetanilide.

抗焦虑药。

Dinazafone.

INN,USAN.

随便看

 

离鸟网收录3541549条中英文词条,其功能与新华字典、现代汉语词典、牛津高阶英汉词典等各类中英文词典类似,基本涵盖了全部常用中英文字词句的读音、释义及用法,是语言学习和写作的有利工具。

 

Copyright © 2004-2024 vtrois.com All Rights Reserved
更新时间:2026/4/18 18:42:42