网站首页  词典首页


请输入您要查询的字词:

 

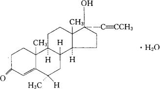
字词 地美炔酮
类别 中英文字词句释义及详细解析
释义 地美炔酮

C23H32O2·H2O=358.52

CAS-41354-30-7

CAS-79-64-1(anhydrous)

17β-羟-6-α-甲基-17-(1-丙炔基)雄甾-4-烯-3-酮一水化合物。

17β-Hydroxy-6-α-methyl-17-(1-propynyl)androst-4-en-3-one monohydrate.

孕激素类药。

Dimethisterone,

INN,BAN,NF,USAN.

随便看

 

离鸟网收录3541549条中英文词条,其功能与新华字典、现代汉语词典、牛津高阶英汉词典等各类中英文词典类似,基本涵盖了全部常用中英文字词句的读音、释义及用法,是语言学习和写作的有利工具。

 

Copyright © 2004-2024 vtrois.com All Rights Reserved
更新时间:2026/4/18 22:28:49