网站首页  词典首页


请输入您要查询的字词:

 

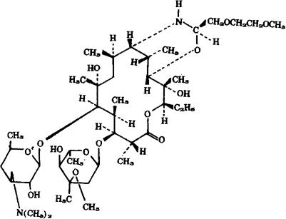
字词 地红霉素
类别 中英文字词句释义及详细解析
释义 地红霉素

C42H78N2O14=835.09

CAS-62013-04-1

(9S)-9-脱氧代-11-脱氧-9,11-[亚氨基[(R)-2-(2-甲氧基乙氧)亚乙基]氧]红霉素。

(9S)-9-Deoxo-11-deoxy-9,11-[imino[(R)-2-(2-methoxyethoxy)ethylidene]oxy]erythromycin.

抗生素类药。

Dirithromycin,LY 237216.

INN,USAN.

随便看

 

离鸟网收录3541549条中英文词条,其功能与新华字典、现代汉语词典、牛津高阶英汉词典等各类中英文词典类似,基本涵盖了全部常用中英文字词句的读音、释义及用法,是语言学习和写作的有利工具。

 

Copyright © 2004-2024 vtrois.com All Rights Reserved
更新时间:2026/4/19 4:16:53