网站首页  词典首页


请输入您要查询的字词:

 

字词 地理联系率
类别 中英文字词句释义及详细解析
释义 地理联系率

反映两经济要素在地理分布上联系情况的指标。

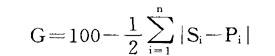
公式为:

式中G为地理联系率,Si为第一要素占全国或全区同类要素的百分比,Pi为第二要素占全国或全区同类要素的百分比。当S与P在地理分布上较为一致时,G较大,表明两要素的地理联系率较高。

反之,当S与P的地理分布差异较大时,G值较小,表明两要素地理联系不太密切。地理联系率可在一定程度上反映人口与工农业总产值、国民收入与人口、人均国民收入与人口、工业就业人数与工业产值、农业就业人数与农业产值等经济要素间的地理联系情况。

随便看

 

离鸟网收录3541549条中英文词条,其功能与新华字典、现代汉语词典、牛津高阶英汉词典等各类中英文词典类似,基本涵盖了全部常用中英文字词句的读音、释义及用法,是语言学习和写作的有利工具。

 

Copyright © 2004-2024 vtrois.com All Rights Reserved
更新时间:2026/4/18 19:35:08