网站首页  词典首页


请输入您要查询的字词:

 

字词 地理系统线性规划的图解法
类别 中英文字词句释义及详细解析
释义 地理系统线性规划的图解法

用坐标图象对线性规划问题求解,当变量的个数不超过三个时,可用这种方法求解,这种方法既简单又直观,同时从中可以了解线性规划的基本原理。

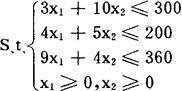
以例说明,试求X1,X2的值,使其满足约束条件

并使其目标函数

其具体解法如下:

(1)求可行解。如图所示,将约束条件的三个不等式视为等式,分别作三条直线,即3x1+10x2=300为AB直线,4x1+5x2=200为CD直线,9x1+4x2=360为EF直线,因为x1和x2为非负,所以S·t中5个不等式的解应包含在OAGHF凸多边形内,即分布在凸多边形内的任何一点的坐标,都能同时满足S·t条件,因此图中斜线部分就是满足S·t条件所允许的x1和x2的共同可行解。它构成了这个线性规划问题的可行解集,但是我们的目的是在可行解集中找到最优解。

线性规划图解法

(2)寻找最优解。

由数学知识可知,最优解不会出现在OAGHF凸多边形内,而必分布在各角顶上或某一线段上。因此最优解可在O、A、G、H、F5个边界点中挑选。只要将5个边界点的坐标值代入目标函数方程中,解出各点的目标函数值,然后从中找出最大者,则此点便是最优解。具体计算列入表:

目标函数值表

由表可知,G点的坐标(20,24)为最优解,即x1=20,xx=24,函数最大值为428。

还可以将目标函数f=7x1+12x2转换为

式中为目标函数的斜率,依此斜率在图中找一组平行线,在这些具有相同斜率的平行线中,居最高位置的目标函数直线所切的点即为最佳解。

此例中恰好通过G点。

随便看

 

离鸟网收录3541549条中英文词条,其功能与新华字典、现代汉语词典、牛津高阶英汉词典等各类中英文词典类似,基本涵盖了全部常用中英文字词句的读音、释义及用法,是语言学习和写作的有利工具。

 

Copyright © 2004-2024 vtrois.com All Rights Reserved
更新时间:2026/4/20 7:49:38