地理系统的判别分析法
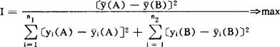
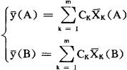
判别分析是一种根据某一地理现象的各种特征指标或多种信息来分辨或判别其类型归属问题的多变量统计分析法。 它对地理类型的划分和区域界限的确定有重大的理论意义和现实意义。 判别分析方法在地理学研究中有两方面的应用,一是已知一些地点(或样本)的类型,然后根据多要素特征值来判定某一地点(或样本)应属哪一类的问题;二是根据某地区多要素特征进行合理分类和确定区域界限。由此可见,判别分析兼有判别和分类两种性能,但以判别为主。 判别分析依其判别类型的多少与方式的不同,可分为两类判别、多类判别和逐步判别。 下面以两类判别为例介绍其基本方法。 依费歇准则的要求,即根据已知的地理特征值进行线性组合,构成一个线性判别函数,即  式中,CK为判别系数,它反映了各地理要素或特征值的作用方向、分辨能力和贡献率的大小。 只要确定了CK,判别函数y也就确定了。XK为已知要素的特征值。 为了使判别函数y能够充分地反映出A、B两类地理类型的差别,这就要使两类之间的值差 尽可能大,而各类内部的商差平方和 尽可能小。这样才能使两类地理类型清楚地分开。根据以上分析,则我们要求  依求极值原理,当 时,则Ck必满足下列方程组;  解上述方程组,即得CK,进而计算出  当判别函数求出后,为判定某一地点的地理类型归属问题,还需要计算出判别指数或判别临界值(yc),计算公式为:  式中,nA为资料A类的组数,nB为资料B类的组数。若当 ,yc归于A类时,则y<yc归于B类。 若当 ,y<yc归为A类时,则y>yc便归为B类。 当前这种方法被大量运用在地理研究中。如农业区划、土地类型划分、国土整治及各种地理要素的分类和区划研究等。 |