网站首页  词典首页


请输入您要查询的字词:

 

字词 地海醋酸
类别 中英文字词句释义及详细解析
释义 地海醋酸

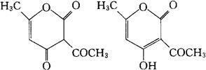
C8H8O4=168.15

CAS-520-45-6(keto form)

CAS-771-03-9(eno form)

3-乙酰基-6-甲基-2H-吡喃-2,4(3H)-二酮(酮式)。

3-Acetyl-6-methyl-2H-pyran-2,4(3H)-dione(Keto form).

3-乙酰基-4-羟基-6-甲基-2H-吡喃-2-酮(烯醇式)。

3-Acetyl-4-hydroxy-6-methyl-2H-pyran-2-one(Enol form).

药用辅料(防腐剂)。

甲醋吡喃酮。

Dehydroacetie Acid.

NF,USAN.

随便看

 

离鸟网收录3541549条中英文词条,其功能与新华字典、现代汉语词典、牛津高阶英汉词典等各类中英文词典类似,基本涵盖了全部常用中英文字词句的读音、释义及用法,是语言学习和写作的有利工具。

 

Copyright © 2004-2024 vtrois.com All Rights Reserved
更新时间:2026/4/18 18:44:41