网站首页  词典首页


请输入您要查询的字词:

 

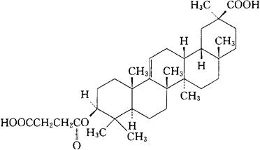
字词 地洛索龙
类别 中英文字词句释义及详细解析
释义 地洛索龙

C34H52O6=556.78

CAS-68635-50-7

3β-羟基齐墩-9(11)-烯-30-酸,氢琥珀酸盐。

3β-Hdroxyolean-9(11)-en-30-oic acid,hydrogen Succinate.

抗溃疡病药。

Deloxolone.

INN,USAN.

随便看

 

离鸟网收录3541549条中英文词条,其功能与新华字典、现代汉语词典、牛津高阶英汉词典等各类中英文词典类似,基本涵盖了全部常用中英文字词句的读音、释义及用法,是语言学习和写作的有利工具。

 

Copyright © 2004-2024 vtrois.com All Rights Reserved
更新时间:2026/4/19 9:03:39