网站首页  词典首页


请输入您要查询的字词:

 

字词 地沙匹定
类别 中英文字词句释义及详细解析
释义 地沙匹定

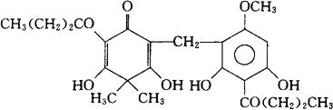
C24H30O8=446.50

CAS-114-43-2

3′-[(5-丁酰-2,4-二羟-3,3-二甲基-6-氧代-1,4-环己二烯-1-基)甲基]-2′,6′-二羟-4′-甲氧苯丁酮。

3′-[(5-Butyryl-2,4-dihydroxy-3,3-dimethyl-6-oxo1,4-cyclohexadien-1-yl)methyl]-2′,6′-dihydroxy4′-methoxybutyrophenone.

抗蠕虫药。

Desaspidin.

INN,USAN.

随便看

 

离鸟网收录3541549条中英文词条,其功能与新华字典、现代汉语词典、牛津高阶英汉词典等各类中英文词典类似,基本涵盖了全部常用中英文字词句的读音、释义及用法,是语言学习和写作的有利工具。

 

Copyright © 2004-2024 vtrois.com All Rights Reserved
更新时间:2026/4/18 11:35:27