网站首页  词典首页


请输入您要查询的字词:

 

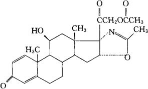
字词 地拉扎可
类别 中英文字词句释义及详细解析
释义 地拉扎可

C25H31NO6=441.52

CAS-14484-47-0

11β,21-二羟-2′-甲基-5′βH-孕甾-1,4-二烯并[17,16-d]噁唑-3,20-二酮21-醋酸酯。

11β,21-Dihydroxy-2′-methyl-5′βH-pregna-1,4-dieno[17,16-d]oxazole-3,20-dione 21-acetate.

皮质激素类药。

地夫可特。

Azacort,Deflazacort.

INN,BAN,DCF,DCIT,USAN.

随便看

 

离鸟网收录3541549条中英文词条,其功能与新华字典、现代汉语词典、牛津高阶英汉词典等各类中英文词典类似,基本涵盖了全部常用中英文字词句的读音、释义及用法,是语言学习和写作的有利工具。

 

Copyright © 2004-2024 vtrois.com All Rights Reserved
更新时间:2026/4/19 5:30:57