网站首页  词典首页


请输入您要查询的字词:

 

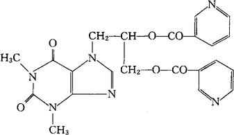
字词 地尼茶碱
类别 中英文字词句释义及详细解析
释义 地尼茶碱

C22H20N6O6=464.44

CAS-17692-30-7

7-(2,3-二羟-丙基)茶碱双(烟酸酯)。

7-(2,3-DihydroxypropyI)theophylline bis(nicotinateester).

抗心绞痛,血管扩张药。

Diniprofylline.

INN,DCF,USAN.

随便看

 

离鸟网收录3541549条中英文词条,其功能与新华字典、现代汉语词典、牛津高阶英汉词典等各类中英文词典类似,基本涵盖了全部常用中英文字词句的读音、释义及用法,是语言学习和写作的有利工具。

 

Copyright © 2004-2024 vtrois.com All Rights Reserved
更新时间:2026/4/18 11:09:34