网站首页  词典首页


请输入您要查询的字词:

 

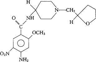
字词 地尼必利
类别 中英文字词句释义及详细解析
释义 地尼必利

C18H26N4O5=378.43

CAS-106972-33-2

(±)-4-氨基3-硝基-N-[1-(四氢糠基)-4-哌啶基]-邻-茴香酰胺。

(±)-4-Amino-5-nitro-N-[1-(tetrahydrofurfuryl)-4-piperidyl]-o-anisamide.

抗青光眼药。

Denipride.

INN,USAN.

随便看

 

离鸟网收录3541549条中英文词条,其功能与新华字典、现代汉语词典、牛津高阶英汉词典等各类中英文词典类似,基本涵盖了全部常用中英文字词句的读音、释义及用法,是语言学习和写作的有利工具。

 

Copyright © 2004-2024 vtrois.com All Rights Reserved
更新时间:2026/4/17 18:30:35