网站首页  词典首页


请输入您要查询的字词:

 

字词 地尔硫
类别 中英文字词句释义及详细解析
释义 地尔硫

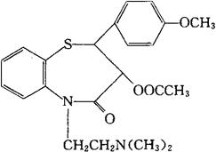
C22H26N2O4S=414.52

CAS-42399-41-7

(+)-顺式-3-(乙酰氧基)-5-[2-(二甲氨基)乙基]-2,3-二氢-2-(4-甲氧苯基)-1,5-苯并硫氮杂-4(5H)-酮。

(+)-cis-3-(Acetyloxy)-5-[2-(dimethylamino)ethyl]2,3-dihydro-2-(4-methoxyphenyl)-1,5-benzothiazepin-4-(5H)-one.

冠脉扩张药。用于治疗心绞痛、高血压。也是一种钙离子拮抗剂。

硫氮酮。

Diltiazen,Anginyl,Cardizem.

地尔硫控释片(硫氮酮片)。

随便看

 

离鸟网收录3541549条中英文词条,其功能与新华字典、现代汉语词典、牛津高阶英汉词典等各类中英文词典类似,基本涵盖了全部常用中英文字词句的读音、释义及用法,是语言学习和写作的有利工具。

 

Copyright © 2004-2024 vtrois.com All Rights Reserved
更新时间:2026/4/20 21:41:13