地塞米松磷酸钠[典]
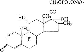
C22H28FNa2O8P=516.41 CAS-2392-39-4 9α-氟-11β,17α,21-三羟-16α-甲基孕甾-1,4-二烯-3,20-二酮21(二氢磷酸酯)二钠盐。 9α-Fluoro-11β,17α,21-trihydroxy-16α-methylpregna1,4-diene-3,20-dione21-dihydrogenphosphate)disodium salt. 皮质激素类药。用于感染性过敏性休克、肾上腺皮质功能减退、结缔组织病、支气管哮喘等。 氟美松磷酸钠,甲氟烯索磷酸钠,德萨美松磷酸钠。 Dexamethasone Sodium Phosphate,Dexamethasone Phosphate Sodium. 地塞米松磷酸钠注射液(氟美松磷酸钠注射液),氟美松磷酸钠眼药水(氟美松眼药水,地塞米松磷酸钠眼药水),地塞米松磷酸钠眼膏。 BP,USAN,USP,MI.  |