网站首页  词典首页


请输入您要查询的字词:

 

字词 地克珠利
类别 中英文字词句释义及详细解析
释义 地克珠利

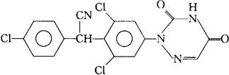
C17H9Cl3N4O2=407.64

CAS-101831-37-2

2,6-二氯-α-(4-氯苯基)-4-(4,5-二氢-3,5-二氧代-1,2,4-三嗪-2(3H)-基)苯乙腈。

Benzeneacetonitrile,2,6-dichloro-α-(4-chlorophenyl)-4-(4,5-dihydro-3,5-dioxo-1,2,4-triazin-2(3H)-yl)-.

(对-氯苯基)[2,6-二氯-4-(4,5-二氢-3,5-二氧代-不均-三嗪-2(3H)-基)苯基]乙腈。

(p-Chorophenyl)[2,6-dichloro-4-(4,5-α-dihydro-3,5-dioxo-as-triazin-2(3H)-yl)phenyl]acetonitrile.

抗球虫药。

Dichazuril,R64,433.

INN,BAN,USAN.

随便看

 

离鸟网收录3541549条中英文词条,其功能与新华字典、现代汉语词典、牛津高阶英汉词典等各类中英文词典类似,基本涵盖了全部常用中英文字词句的读音、释义及用法,是语言学习和写作的有利工具。

 

Copyright © 2004-2024 vtrois.com All Rights Reserved
更新时间:2026/4/19 18:28:54