网站首页  词典首页


请输入您要查询的字词:

 

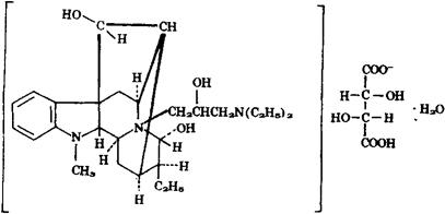
字词 地他义铵重酒石酸盐
类别 中英文字词句释义及详细解析
释义 地他义铵重酒石酸盐

C31H47N3O9·H2O=623.74

CAS-53862-81-0

CAS-33774-52-6(anhydrous)

4-[3-(二乙氨基)-2-羟丙基]阿吗灵鎓酒石酸氢盐一水化合物。

4-[3-(Diethylamino)-2-hydroxypropyl]ajmalinium hydrodgen tartrate monohydrate.

抗心律失常药。

重酒石酸地他义铵,胺羟丙缓脉灵。

Detajmium Bitartrate.

INN,USAN.

随便看

 

离鸟网收录3541549条中英文词条,其功能与新华字典、现代汉语词典、牛津高阶英汉词典等各类中英文词典类似,基本涵盖了全部常用中英文字词句的读音、释义及用法,是语言学习和写作的有利工具。

 

Copyright © 2004-2024 vtrois.com All Rights Reserved
更新时间:2026/4/21 1:30:06