网站首页  词典首页


请输入您要查询的字词:

 

字词 地下水文学
类别 中英文字词句释义及详细解析
释义 地下水文学

是水文科学中一门分支学科。

根据能量守恒定律,研究地下水的补给、径流、排泄、贮存之间的数量关系;地下水与降水、地表水之间的联系和转化,建立地下水水量、盐量平衡方程式。地下径流是海陆间水分循环中一个环节,它是在重力和压力作用下所产生的渗流运动。研究地下水运动的基本方法,是根据达西定律推导出不同条件下地下水运动的数学物理方程,然后加以求解,就可预测由于自然和人为因素引起某地某时地下水位、水量、水质等水文要素的变化,建立各要素在时间和空间上的定量关系;建立观测站和均衡试验场,计算有关水文和水文地质参数,评价地下水的补给量、贮存量和允许开采量,监测地下水的水质变化,以防止地下水污染等。地下水是水资源不可缺少的组成部分,它的合理开发应在查明地下水资源数量和质量的基础上,进行统筹安排、合理规划;它的管理除制定规划外,还要健全管理机构,进行水资源的合理调配,规定开采地下水的技术要求,保护好水源,防止因抽水过多而产生的区域漏斗和地面不均匀沉降,或海水入侵,以保证长期安全供水等。

因此地下水文学的研究,不仅有重要的理论意义,而且对解决好干旱半干旱地区的供水、排水和防治土壤次生盐碱化等方面都具有重要的现实意义。

16世纪以前,人们只局限于从井水或泉水的直接观察或推断来了解地下水。

梅拉图(Maillarto)曾认为地下有一个很大的洞穴,水可以从中流出。中国的柳宗元在《天对》中曾记述降水渗入地下,蓄存于岩土空隙中,伴随蒸发、运动等现象。

从17世纪到20世纪初,不少学者,总结出一系列关于地下水形成和运动的重要理论和方法。

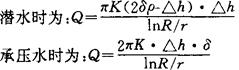
法国佩罗(P.Pale)研究了地下水毛细管上升现象,认为砂中毛细管水的上升高度小于粘土性;法国马略特(E.Malot)测量了由雨水渗入补给的地下水量,认为泉水是由降水补给的。1856年法国达西(H.P.Darse)通过大量实验,认为地下水在岩土空隙中流动,所受阻力比地表水流动时受到的阻力要大得多,其流动速度是非常缓慢的,属于层流,它的渗透速度与水头梯度成正比,这就是著名的达西定律,奠定了研究地下水运动的理论基础,1863年法国裘布依(Jubuy)依据达西定律推算单井抽水时涌水量公式,又称裘布依公式。

式中Q为单井开采出水量(m3/d);K为含水层渗透系数(m/d);δρ为抽水前潜水含水层厚度(m);δ为承压水层厚度(m);△h为抽水井的水位降深,即抽水前的水位与抽水时水位的差值(m);R为抽水井的影响半径(m);r为抽水井的半径(m)。

裘布依公式至今仍为地下水计算中最常用公式之一。从20世纪初至80年代,地下水文学逐渐从水文学科发展形成一门独立的学科。1928年美国迈因策尔(O.E.Minchael)在研究承压水层的压缩性和弹性之后,首先提出地下水非稳定理论。1930年荷兰德赫莱(G.J.Derheland)用数学成功分析地下水渗过弱透水层的越流现象。1935年美国学者泰斯(C.V.Tylcs)在此基础上,建立著名泰斯公式:

式中T为含水层导水系数(m2/d);W(U)为泰斯井函数,其余符号与裘布依方程相同。

这一成就奠定了计算非稳定流单井出水量的理论基础。

1937年美国马克斯特(Maxter)的《均匀流体通过多孔介质的流动》一书问世,用数学方法较系统地论述了地下水运动规律。1954年英国博尔顿(N.S.Bolton)完善了潜水完整井非稳定流的方程式,从此随著电子计算机在地下水计算中的广泛应用,解析法、有限单元法、边界积分法等越来越多纳入地下水的计算领域,解决许多复杂条件下的地下水计算问题,成为行之有效的计算方法。

从1949年以后,中国地下水文学的研究,在地下水水位及开采预报、水文及水文地质参数的确定、地下水调蓄计算、地下资源评价等方面取得不少成果,尤其从60年代起在山东禹城建立地下均衡试验场,对中国北方平原地区水量平衡的研究取得显著成果,利用井灌井排方法为改变黄淮海平原农业低产的贫穷面貌开拓了有效途径;在上海等大中城市采用井水回灌技术,有效地控制地面不均匀沉降。

地下水文学研究途径主要有两个方面:数学物理途径,根据地下水的水情和影响因素之间的物理联系,建立它们之间的定量关系;统计途径,根据大量的实测资料,用概率统计理论研究地下水各水情要素的统计规律。主要的研究手段有:钻探、地球物理勘探和遥感技术,可以查明含水层埋藏条件、空间分布规律;试验和观测,包括抽水试验、井泉水的长期动态观测和土壤水的观测等;地下水数学模型和地下水模拟技术,前者用来计算地下水的水位、水量、溶解质浓度和水温在时间、空间上的变化;后者用来研究地下水的实际运动;同位素技术,研究土壤水含量、地下水的起源、年龄和示踪运动途径等。

地下水文学发展历史只有几十年,还是一门年轻的学科,有些问题如降水、地表水和地下水在不同地区、不同条件下的转化关系还缺乏定量的评价方法;在区域范围内复杂的水文地质条件下正确划定含水层的参数尚无完整的办法;地下水污染物质的弥散、含水层温度场、地下水动态规律与预测等领域还有待进一步深入研究;地下水数学模型、电子计算机和电模拟技术用于地下水资源评价还处于起步阶段;地下水资源最优开发及管理等方面的研究尚未成熟,这些问题,是今后研究工作的方向。

。【参考文献】:

1 王大纯,等.水文地质学基础.北京:地质出版社,1986.176~236

2 Mohan Munasinghe,Graundwater resource management and environmental Protectiion,1991,15(4)∶302~312

(安徽师范大学周世术副教授撰;孙毓飞审)

随便看

 

离鸟网收录3541549条中英文词条,其功能与新华字典、现代汉语词典、牛津高阶英汉词典等各类中英文词典类似,基本涵盖了全部常用中英文字词句的读音、释义及用法,是语言学习和写作的有利工具。

 

Copyright © 2004-2024 vtrois.com All Rights Reserved
更新时间:2026/4/20 14:48:34