网站首页  词典首页


请输入您要查询的字词:

 

字词 圆柱齿轮传动的设计
类别 中英文字词句释义及详细解析
释义 圆柱齿轮传动的设计

圆柱齿轮常用的材料及其机械性能见表4.16-14,齿轮工作齿面硬度及其组合的应用参照表4.16-15。

表4.16-14 齿轮常用材料及其机械性能

v-齿轮圆周速度(m/s),z1-小齿轮齿数。

Kv=Kvaβ(Kva-Kvb)

式中Kva、Kvb分别为由图(a)和(b)查得的Kv值。应该说明的是,图4.16-2不适用共振区。对于可能发生共振的高速齿轮传动,应进行振动计算。可参考国家标准GB3480-83和有关资料。

❹  齿向载荷分布系数Kβ。即载荷沿齿宽方向分布不均匀的影响系数,可概略地从图4.16-3查得。如果通过测量和检查,能够确定并掌握轮齿接触情况,并相应地作轮齿误差修形(螺旋角修形、鼓形修形及热变形修形等),可取Kβ=1。如果对齿轮的结构作特殊处理,或经过仔细跑合后,能使载荷沿齿宽均匀分布,也可取Kβ=1。

1-齿轮对称布置于两轴承之间;2-齿轮非对称布置于两轴承之间,且轴的刚性较大;3-齿轮非对称布置于两轴承之间,且轴的刚性较小;4-齿轮悬臂布置。横坐标Φd=b/d1。

❺  齿间载荷分配系数Ka。即在同时啮合的各对轮齿上载荷分配不均匀的影响系数。对应第Ⅱ组精度等级的Ka值可近似地从图4.16-4查得。

❻  材料弹性系数ZE。即配对齿轮的材料弹性模量E和泊松比v影响接触应力的系数,其计算式为:

❿  接触强度寿命系数ZN。即齿轮寿命(即应力循环次数或工作时数)不同对其接触疲劳极限应力的影响系数,其计算式见表4.16-22。应力循环次数NL按下式计算:

表4.16-22 寿命系数ZN的计算公式

an=20°,,对于圆柱斜齿轮取z=zv和x=xn,其中zv为斜齿轮的当量齿数

⒄ 弯曲强度寿命系数YN。即齿轮寿命(即应力循环次数或工作时数)不同对其弯曲疲劳极限应力的影响系数,按表4.16-24所列公式计算。应力循环次数N按下式计算:

表4.16-24 寿命系数YN的计算公式

⒆ 相对应力集中系数Ysr

Ysr是考虑齿轮材料、齿根圆角半径等对齿根弯曲疲劳极限应力的影响系数。Ysr值可由图14。6-9查得,静强度计算时取Ysr=1。图中x为变位系数。

1-应力集中敏感性小的材料(铸件);2-应力集中敏感性大的材料(调质钢);3-应力集中敏感性中

等的材料(渗碳淬火钢);4-所有材料在静载荷时。

若已知一对齿轮传动的载荷图,如图4.16-10所示,可根据疲劳损伤累积假说,按下式计算齿轮的当量应力循环次数Nv

❶  选择齿轮材料:参阅表4.16-14和表4.16- 15,小齿轮选45钢,调质,HBS=260~290;大齿轮选45钢,调质,HBS=220~240。

❷  选定疲劳强度极限:由图4.16-5和图4.16-7查取小齿轮=225MPa;大齿轮

❸  选择齿轮精度等级:参阅表4.16-49,选为8级精度(GB10095-88)。

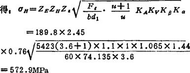
❹  按接触疲劳强度初步计算传动的主要尺寸:参阅表4.16-18斜齿圆柱小齿轮分度圆计算式,并取载荷系数K=1.1,小齿轮转矩T1=9549P1/n1=201N·m,齿数比u=i=3.6,齿宽系数Φd=0.8,接触疲劳许用应力,得:

接触强度

❺  确定齿轮主要参数和尺寸如下:

选取小齿轮齿数z1=29,则大齿轮齿数z2=uz1=3.6×29=104。

初选螺旋角β=15°,则得模数

(取标准值2.5mm)

计算精确的轮齿螺旋角

计算齿轮直径与齿宽:

基圆 dL1=d1coSat=74.135cos(20.41426°)

=69.479mm

db2=d2coSat=265.865cos(20.41426°)

=249.167mm

顶圆

齿宽 b=Φdd1=0.8×74.135=60mm(取b1=65mm。b2=60mm)

❻  精确验算齿面接触疲劳强度:按表4.16-19所列公式,并算出

轴向重合度

齿向载荷分布系数Kβ=1.065(由图4.16-3)

齿间载荷分配系数Ka=1.44(由图4.16-4按8级精度等级查得)

接触疲劳许用应力(参阅表4.16-19):

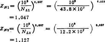
其中 接触疲劳强度寿命系数(参阅表4.16-22):

应力循环次数:

NL1=60n1γt=60×380×1×8×300×8

=43.8×107

NL2=60n2γt=60×106×1×8×300×8

=12.2×107

工作硬化系数 ZW=1

接触疲劳强度最小安全系数(参阅表4.16-20)

SHmin=1

σH<σHp2,即满足接触疲劳强度要求,不仅能达到预定的工作小时,而且还有较多的裕度,必要时可采用降低齿宽、中心距等措施。

❼  验算轮齿弯曲疲劳强度:按表4.16-16公式:

其中齿宽b=60mm,模数mn=2.5mm,齿形系数YFa1=2.55,YFa2=2.18(由图4.16-6查取);弯曲强度重合度系数和螺旋角系数Yβ分别为

弯曲疲劳许用应力

其中 轮齿弯曲应力循环次数NL及其寿命系数YN(见表4.16-24)分别为NL1=44.35×107,YN1=1;,YN2=1;尺寸系数Yx=1(参阅图4.16-8);相对应力集中系数Ysr1=0.88,Ysr2=0.985(由图4.16-9查出):弯曲疲劳强度最小安全系数SFmin=1(见表4.16-23)。,σF2<σFP2,即两齿轮轮齿都满足弯曲疲劳强度要求,且有较多的裕度,可采用适当减小模数和稍许增加齿数的方法,以改善传动性能。

随便看

 

离鸟网收录3541549条中英文词条,其功能与新华字典、现代汉语词典、牛津高阶英汉词典等各类中英文词典类似,基本涵盖了全部常用中英文字词句的读音、释义及用法,是语言学习和写作的有利工具。

 

Copyright © 2004-2024 vtrois.com All Rights Reserved
更新时间:2026/4/17 21:14:24