网站首页  词典首页


请输入您要查询的字词:

 

字词 圆柱齿轮传动的几何计算
类别 中英文字词句释义及详细解析
释义 圆柱齿轮传动的几何计算

外啮合标准圆柱齿轮传动、外啮合变位圆柱齿轮传动、螺旋齿轮传动和内啮合圆柱齿轮传动的几何计算分别见表4.16-5~4.16-8。有关WK、、插齿刀参数和渐开线函数值分别见表4.16-9~4.16-13。

表4.16-5 外啮合标准圆柱齿轮传动几何计算

例4.16-4 齿数z1=25,z2=44,模数m=4mm,法面压力角an=20°,法面齿顶高系数=1。法面顶隙系数,轮齿螺旋角β=9°41′47″,齿宽b=60mm,中心距a′=140mm。试计算一对外啮合圆柱斜齿变位齿轮传动的几何尺寸和参数。

解:按表4.16-6所列公式计算得;

模数:mn=4mm,mt=mn/cosβ=4/cos9°41′47″=4.058mm

分度圆压力角:an=a=20°,

at=arctg(tgan/cosβ)=20°15′59″

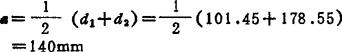
分度圆直径:mm

d2=z2mt=44×4.058=178.55mm

未变位时的中心距:

中心距变动系数:

啮合角

总变位系数:

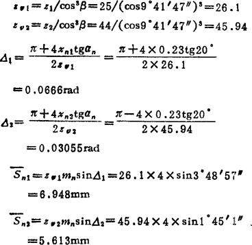
变位系数的分配:采用高度变位,即xn1=-xn2。计算当量齿数zv=z/cos8β及齿数比,由图4.16-1查得小齿轮变位系数xn1=0.23。则大齿轮变位系数xn2=-0.23。

齿顶高变动系数:△yn=xnΣ-yn=0

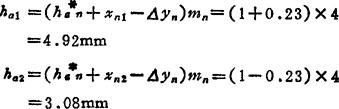
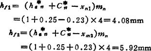
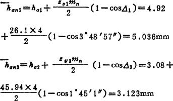
齿顶高:

齿根高:

齿全高:

齿顶圆直径:

齿根圆直径:

齿顶压力角:

端面重合度:

轴向重合度:

总重合度:

εγ=εaβ=1.628+0.804=2.432

侧隙检验尺寸(选用一组):

第Ⅰ组:分度圆弦齿厚

分度圆弦齿高:

第Ⅱ组:固定弦齿厚:

固定弦齿高

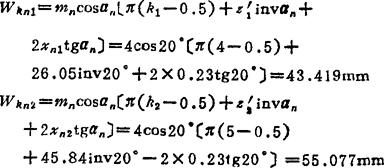
第Ⅱ组:公法线跨齿数k:

公法线长度:

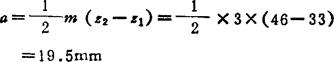
例4.16-5 齿数z1=33,z2=46,模数m=3mm,齿顶高系数。顶隙系数C*=0.25,压力角a=20°,中心距a′=20mm,内齿轮插齿刀的齿数z02=25,变位系数x02=0,齿顶高系数。小齿轮用滚刀加工,试计算一对内啮合直齿圆柱齿轮传动几何尺寸和参数。

解:按表4.16-8所列公式计算得:

模数:m=3mm

分度圆压力角:a=20°

未变位时的中心距:

中心距变动系数:

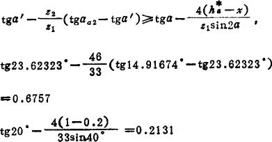
啮合角

总变位系数:

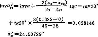
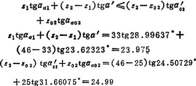
变位系数的分配:齿数比u=z2/z1=46/33=1.39,查图4.16-1得x1=0.2,则x2=xΣ+x1=0.182+0.2=0.382

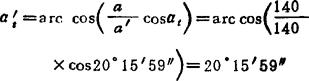
插内齿轮时的啮合角:

插内齿轮时的中心距:

分度圆直径:

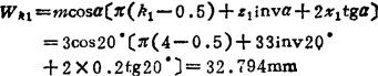
d1=mz1=3×33=99mm

d2=mz2=3×46=138mm

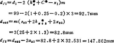
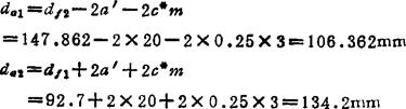
齿根圆直径(小齿轮用滚刀加工时):

齿顶圆直径:

小齿轮、内齿轮和插齿刀的齿顶压力角:

总重合度:

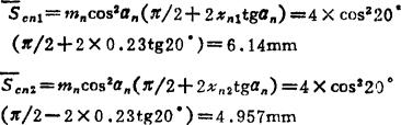
侧隙检验尺寸(选用一组):

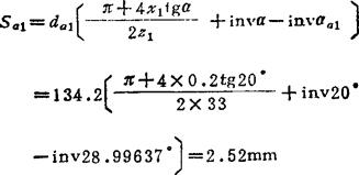
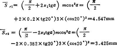
第Ⅰ组:固定弦齿厚:

固定弦齿高:

第Ⅱ组:跨齿数:

公法线长度:

圆棒(球)直径:

dp=1.68m=1.68×3=5.04mm

圆棒(球)跨距M2(见图,内齿轮齿数为偶数):

条件检验:

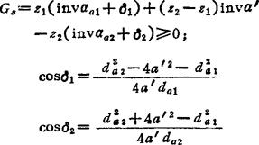
两齿轮不重叠干涉条件为:

代入各值得

Gs=0.65137≥0,满足要求。

内齿轮不产生顶切条件为:

满足要求。

避免内齿轮齿根干涉条件为:

滚刀加工的小齿轮时避免小齿轮齿根干涉的条件为:

满足要求。

小齿轮最小齿顶厚度;

条件对调质钢为Sa1>0.25m=0.25×3=0.75mm,满足要求。

随便看

 

离鸟网收录3541549条中英文词条,其功能与新华字典、现代汉语词典、牛津高阶英汉词典等各类中英文词典类似,基本涵盖了全部常用中英文字词句的读音、释义及用法,是语言学习和写作的有利工具。

 

Copyright © 2004-2024 vtrois.com All Rights Reserved
更新时间:2026/4/19 7:47:27