网站首页  词典首页


请输入您要查询的字词:

 

字词 圆柱螺旋压缩弹簧的结构设计
类别 中英文字词句释义及详细解析
释义 圆柱螺旋压缩弹簧的结构设计

压缩弹簧的端部结构见表4.13-16。

表4.13-16 圆柱螺旋压缩弹簧端部结构型式及支承圈数 n2(代号摘自GB/T1239.6-92)

图样上还应有技术要求和有关参数:弹簧端部型式、总圈数、有效圈数、旋向、表面处理、制造技术条件、展开长度、标题栏、材料,以及其余边倒钝、未注圆角

例4.13-1 拟设计一圆簧丝压缩弹簧。其最大工作载荷F2=750N,对应变形,弹簧安装载荷F1=250N。该弹簧套在直径为22mm的杆上,外径不应超过45mm,自由高度要求在140mm以内。该弹簧不经常工作,但较重要,两端磨平,设有弹簧导套。

其设计计算的方法和步骤如下:

1.选材料:由表4.13-2选碳素弹簧钢丝C级,试取材料直径d=5mm,由表2.3-21中选取抗拉强度极限的下限值σb=1470MPa。

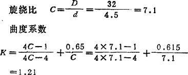
2.求材料直径:设弹簧中径D=30mm,旋绕比C=D/d=30/5=6,曲度系数。考虑其较重要,由表4.13-5取许用切应力[τ]=0.4σt=588MPa,则

3.有效圈数:

4.弹簧刚度:

5.初算试验载荷:

其中,τT=0.5σb=0.5×1470=735MPa(见表4.13-5)。

6.总圈数:n1=n+nz=12+2.5=14.5。端部为YI型(见表4.13-16)。

7.自由高度:

由节距算出H0m1n=ntmin+2d=115.6mm(取H0=130mm)。

8.初算试验载荷下变形量:

9.压并高度:Hb=n1dmax=14.5×d=72.5mm,压并变形量λb=H0-Ht=57.5mm,因λT>λb,取λTb=57.5mm,因而试验载荷FT=kpλT=19×57.5=1092N。

10.校核特性:安装时变形量λ1=F1/kp=250/19=13.2mm。因0.2λT≤λi、λ2≤0.8λT,故可满足要求。

11.稳定性校核:因有导套,故不必校核。

12.其他参数:

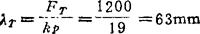
弹簧螺旋角

弹簧材料展开长度

13.工作图:可参照图4.13-5绘制。

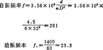
例4.13-2 某内燃机气门弹簧,由阀门用油淬火回火铬钒合金钢弹簧钢丝制造,弹簧材料直径d=4.5mm,中径D=32mm,有效圈数n=6,总圈数n1=8,右旋,端部为YⅠ型,自由高度H0=63.1mm,气门开启最大时该压缩弹簧所受的载荷F2=420N,安装时弹簧所受的载荷F1=200N,气门开启最大次数为14001/min,试校核其疲劳强度和振动性能。

疲劳强度校核:

最小切应力

由表4.13-3查得该材料的强度极限σb=1520MPa,则τmax/σb=454/1520=0.30。由图4.13-3得知,r和τmax/σb的交点在107作用次数线以下,表明该弹簧的疲劳寿命N>107次。

共振校核:

由于,故可满足要求。

随便看

 

离鸟网收录3541549条中英文词条,其功能与新华字典、现代汉语词典、牛津高阶英汉词典等各类中英文词典类似,基本涵盖了全部常用中英文字词句的读音、释义及用法,是语言学习和写作的有利工具。

 

Copyright © 2004-2024 vtrois.com All Rights Reserved
更新时间:2026/4/17 17:06:20