网站首页  词典首页


请输入您要查询的字词:

 

字词 圆心距
类别 中英文字词句释义及详细解析
释义 圆心距

两圆圆心之间的距离.

两圆相切与“圆心距d、两圆半径R、r之间的数量关系”的等价关系.

d=R+r两圆外切.

d=R-r两圆内切.

注意 这也是两圆位置关系与“d与R,r之间数量关系”的相互转化.

例1 已知两圆外切时,圆心距为12cm,两圆内切时,圆心距为3cm,求两圆半径.

解 设两圆半径分别为Rcm、rcm,依题意可得

答 两圆半径分别为7.5cm、4.5cm.

例2 若两圆的半径分别为R、r(R>r),圆心距为d,且有R2+d2-r2=2Rd,判断两圆的位置关系.

解 ∵R2+d2-r2=2Rd,

∴R2-2Rd+d2=r2

∴(R-d)2=r2

∴R-d=r或R-d=-r.

即d=R+r或d=R-r.

∴两圆外切或内切.

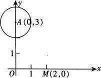
例3 如图,已知A点坐标为(0,3),☉A的半径为1,点B在x轴上,若☉B过点M(2,0)且与☉A相切,求B点坐标.

解 设B点坐标为(x,0)显然x<2根据题意,☉B半径rB=2-x.

两圆圆心距

当两圆外切时AB=rA+rB

∴x2+9=(3-x)2,解得x=0,此时B点坐标(0,0).

当两圆内切时,AB=rB-r4

∴x2+9=(1-x)2,解得x=-4,此时B点坐标(-4,0).

随便看

 

离鸟网收录3541549条中英文词条,其功能与新华字典、现代汉语词典、牛津高阶英汉词典等各类中英文词典类似,基本涵盖了全部常用中英文字词句的读音、释义及用法,是语言学习和写作的有利工具。

 

Copyright © 2004-2024 vtrois.com All Rights Reserved
更新时间:2026/4/18 8:22:02