圆心角、弧、弦之间的关系定理的推论
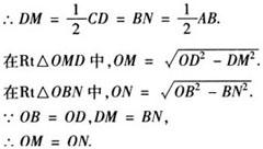
在同圆或等圆中,如果两个圆心角、两条弧、两条弦中有一组量相等,那么它们所对应的其余各组量都分别相等. 注意 定理和推论的前提条件“同圆或等圆”必不可少. 比如:大小不等的圆中可以有相等的圆心角,但所对的弧、所对的弦不一定相等.  两个同心圆中,同样的圆心角所对弦AB≠ CD, . 例1 在☉O中,如果 ,那么弦AB与CD之间有( ). A.AB<2CD B.AB=CD C.AB>2CD D.不能确定 答 A.  [解析] 如图, ,取 的中点P,则 . ∴AP=BP=CD,在△ABP中,AB 例2 已知:☉O中,AB、CD是两条非直径且相等的弦. 求证:两条弦的弦心距(圆心到弦的距离)相等.  证明 过O点分别作OM⊥CD于M点ON⊥AB于N点,连接OB、OD. ∵AB=CD,根据垂径定理.  [解析] 圆心角同弧、弦之间关系定理的推论可以推广为:圆心角、弦、弧、弦心距之间的关系定理,如果两个圆心角,两条弧,两条弦,两条弦的弦心距中有一组量相等,那么它们所对应的其余各组量都分别相等. 例3 如图,☉O的两条弦AB、CD相交于点P,且OP平分∠BPD. 求证: . 证明 过O点作OM⊥CD于M点. 作ON⊥AB于N点. ∵OP平分∠BPD, ∴OM=ON. ∴AB=CD. ∴ . ∴ .  |