网站首页  词典首页


请输入您要查询的字词:

 

字词 国际收支的弹性分析方法
类别 中英文字词句释义及详细解析
释义 国际收支的弹性分析方法

一种分析汇率变化(如贬值)对国际收支发生何种影响的方法,它假定影响进出口需求变化的唯一因素是进出口商品的货币价格。

这一国际收支的分析方法是由查尔斯·比克尔迪克(Charles Bickerdike)于l920年发表的一篇文章《外汇的不稳定性》(The instability of forergn exchange)中首次提出来的,以后又为琼·罗宾逊和梅茨勒(Metzler)等人进一步系统阐述。

考虑一个简化的世界,它仅仅包含两个国家(“本”国和“外”国),生产和交换两种商品。

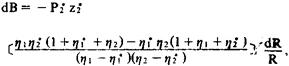
现今R代表用本国通货来表示的外国通货价格,Pi代表用本国通货来表示的第i种商品的国内价格(因而在套利均衡条件下便有Pi/R,为用外国通货来表示的商品i的国外价格),B代表用外国通货来表示的本国贸易差额,Zi(Pi)和分别代表本国和外国对第i种商品的过度需求。那么,比克尔迪克的国际收支模型可以归结为下面的方程体系:

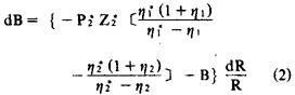
在这一体系中,汇率R被视为一种参数,P1-P2、B则是求解的变量。将(1)的方程对R求微分来求解dB和dpi并将其转换成弹性形式,我们便得到

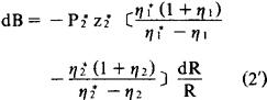
其中ηi≡(dzi/dPi)(Pi/zi),而在B最初等于零的特殊情况下,(2)式能够采取更简单的形式

方程(2)经常被叫作比克尔迪克-罗宾逊-梅茨勒公式,然而实际上罗宾逊和梅茨勒的作用仅仅是作为解释者而已。

现在具体假定,本国出口第一种商品而进口第二种商品,从而η1便是出口供给弹性,η2则是进口需求弹性。再进一步假定所有的边际购买倾向均为正,从而η1为正值,而η2为负值。那么,为使贬值产生对于国际收支的改善效应,只需两个进口需求弹性之和在量值上大于一便足够了,这亦即是说只要马歇尔-勒纳条件(参见该条目)被满足便足够了。因此,方程(2′)可以重新写成

式中除了以外,所有各项的正负符号均为已知。

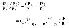
为使国际收支对贬值产生正反应,贸易条件改善或至少它不恶化也可以成为充足条件。

由于贸易条件变化是由P1/P2的变化来显示的,而从方程(3)又可以得出

因而如果该表达式是非负的,那么根据(2′)式便可得出:dB一定为正值。

随便看

 

离鸟网收录3541549条中英文词条,其功能与新华字典、现代汉语词典、牛津高阶英汉词典等各类中英文词典类似,基本涵盖了全部常用中英文字词句的读音、释义及用法,是语言学习和写作的有利工具。

 

Copyright © 2004-2024 vtrois.com All Rights Reserved
更新时间:2026/4/17 23:17:02