网站首页  词典首页


请输入您要查询的字词:

 

字词 国际投资有效税率的测定
类别 中英文字词句释义及详细解析
释义 国际投资有效税率的测定

【内容介绍】:

1.方法

测定国际投资有效税率的方法主要依据的是金-富勒顿方法(King and Fullerton,1984)。

这种方法的主要目的是推导出,某-投资项目的税前与税后的必要实际收益率之间的差异。在没有税收的情况下,这两种必要实际收益率彼此相等,而且也等于现行实际利率(r)。可是,公司税会带来税前必要实际收益率与资本成本(p)偏离利率。此外,个人税可能使个人投资者的税后实际收益率(s)低于利率。

在“国内投资有效税率的测定:金-富勒顿方法”辞条中,介绍了金-富勒顿方法对资本成本(p)和有效税收楔子(p-s)的估计,后者对于封闭经济中的投资水平尤其重要。在封闭经济中,利率不断调整,使储蓄与投资相等,从而与税收制度密切相关。

然而,在开放经济中,资金自由流入和流出,所以,国内储蓄不一定等于国内投资。在这种情况下,在考察税收对投资的影响时,资本成本是更为重要的测定标准。还应当指出,即使在封闭经济下,如果个人投资者不支付个人税,那么,税后实际收益率等于实际利率(s=r)。在这种情况下,由于存在一个水平既定的实际利率(r),故资本成本仍然是测定税收对投资刺激影响的适当标准。

实际利率r与税后实际收益率s之间的关系可以作如下简单表述:

s={[1+i(1-m1)]/(1+π)}-1 (1)

式中各符号的经济含义是:

s——税后实际收益率

π——通货膨胀率

i——名义利率,i=(1+r)(1+π)一1

r——实际利率

m1——对利息所得征税的个人税率

金-富勒顿方法仅适用于国内投资和税收,所以,这种方法需要扩展以适用于跨国投资和税收。因此,本文介绍的方法就是阿尔沃斯(Alworth,1988)、基恩(Keen,1990)以及索伦森(Sorensen,1990)在开放经济条件下对金-富勒顿方法的扩展。

就跨国投资而言,对公司利润征税的主要特征不仅包括公司税率、折旧扣除、投资税收抵免、存货估价、公司税与个人税的相互作用方式、以及对股息所得、利息所得和资本利得征税的个人税率,而且还包括对股息所得和利息所得征税的预提税以及对外国来源所得的税收待遇。当然,这种扩展的方法也忽略了税制中的某些因素,如公司或个人投资者面临的财富税、对外汇利得和损失的征税问题等。

在国内的情况下,考察了公司融资的三种方式,即保留收益、举债和新发行股票。就跨国投资而言,这种活动完全由全部股权由母公司拥有的子公司来从事,子公司的投资融资方式是下列三种方式之一:(子公司的)保留收益、从母公司举债的债务或来自母公司的新股本。

考虑到母公司使用的融资方式,为子公司的融资方式可有七种。此外,在本模型中,汇率是一个重要的参数。

2.税收参数

考察两个公司,母公司在“居住国”经营,全部股权由母公司拥有的子公司在“来源国”经营。虽然子公司可以通过保留收益为经营活动融资,但母公司也可以通过购买新股票和贷款为子公司经营活动融资。

两个公司的总纳税义务可以写成:

式中各符号的经济含义是:——在居住国产生和分配的利润的应纳税额

E——汇率(在t时期伊始设定为1)——子公司的利润和分配利润在来源国的应纳税额——子公司的利润和分配利润在居住国的应纳税额

分别考察这两个公司的纳税情况,得到:

式中各符号的经济含义是:——母公司的应税利润——子公司的应税利润

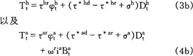
τhr——在居住国的保留收益适用的法定税率

τar——在来源国的保留收益适用的法定税率

τhd——在居住国的股息适用的法定税率

τad——在来源国的股息适用的法定税率——母公司支付的归属抵免前的股息——子公司支付的归属抵免前的股息——母公司支付的对股息征收公司税前的股息——子公司支付的对股息征收公司税前的股息

ωh——对母公司的股息支付征收的预提税率

ωa——对子公司的股息支付征收的预提税率

ch——母公司的股息支付可获得的归属制抵免

ca——子公司的股息支付可获得的归属制抵免

ωr——子公司向母公司支付的利息应缴纳的预提税税率

上述两个表达式可以写成:

式中的τ*hd、τ*hr、τ*ad和τ*ar是适用于归属抵免前的股息的“有效”公司税税率,可作如下定义:

τ*ijij(1-ct)/(1-τid)

i=h,a;j=d,r (5a)

σh和σa分别是在居住国和来源国的股息支付适用的“有效”预提税税率,即

σ11-c1 i=h,a (5b)

在没有预提税和归属抵免的情况下,σ=0。在没有归属抵免的情况下,σ=ω。没有预提税的归属制实际上减少了公司支付的税收总额,因为归属抵免只是股东所得税的预先支付,在这种情况下,σ=-c。由于税制的这两个特征作为方式相同(但方向相反),故它们可以合并到同一参数σ中。

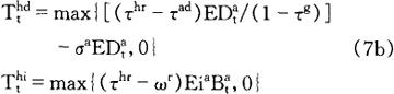
(2)式中的第三个因素取决于居住国对外国来源所得的税收待遇。这种所得可以分为两种形式,即股息和利息:

式中的是居住国对来自子公司的股息所得课征的税收,是居住国对来自子公司的利息所得课征的税收。

就每一种情况而言,需要考察三种可能的征税方式:第一,免税:

第二,延期纳税下的部分抵免:

第三,延期纳税下的扣除:

在(7b)式中,τg是母公司获得的股息还原成税前数额所依据的税率,以确定居住国征税的税基。这实质上是一个居住国是否接受来源国税基的问题:如果接受,则τgad,一般假定属于这种情况,但美国的做法不然。

对外国来源所得征税的这三种形式可用下列应纳税总额的一般公式来描述:

式中的σ*作为股息汇回的利润所产生的总税额,ω*是汇回的利息所产生的总税额我们可以把

τ*d=τar*(1-τad) (9)

定义为对子公司的分配利润课征的有效税率。这样,对外国来源所得征税的三种制度中每一种制度下的σ*和ω*的值为:免税制度:

σ*a*ad-τ*ar

ω*r

延期纳税下的部分抵免制度:

σ*=max{(τhr-τad)/(1-τad),σa}+τ*ad-τ*ar

ω*=max{τhr,ωr

延期纳税下的扣除制度:

σ*hr(1-σa)+σa*ad-τ*ar

ω*hr(1-ωr)+ωr

3.企业行为模型

这里描述的企业模型是金(King,1974)建立的企业模型的扩展。

假定完全的确定性,企业旨在最大化股东的财富,这等同于最大化企业股票的现值。这种扩展是要把建立在外国的子公司考虑在内。

又假定母公司的股东生活在居住国并在居住国缴税,也就是说,不存在跨国有价证券投资。

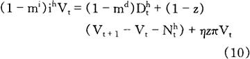
首先看一下居住国的资本市场均衡条件:

式中各符号的经济含义是:

Vt——t时期伊始母公司股票的市场价值——母公司在t时期新发行的股票

π——通货膨胀率

m1——对母公司股东的利息所得课征的边际个人税税率

md——对母公司股东的股息所得课征的边际个人税税率

z——对母公司股东的资本利得课征的边际个人税税率

(10)中的最后一项表明的是在征税时资本利得的指数化值:如果允许指数化,η=1;如果不允许指数化,η=0。条件式(10)只是要求股票的税后收益(右式)等于债务的税后收益(左式)。假定企业的目的是使Vt最大化。

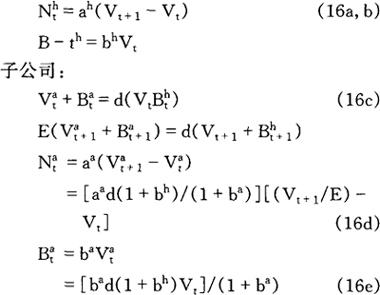
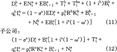
为了利用条件式(10),有必要规定D的值,这可以通过使母公司以及子公司的资金来源和使用相等来实现:母公司:

式中各符号的经济含义是:——母公司在t时期支付的毛股息——子公司在t时期向母公司支付的毛股息——母公司在t时期向子公司购买的新股票——母公司在t时期借给子公司的一时期债务存量,一时期后连本带利(以名义利率ia计算的利息)一同偿还——母公司在t时期借入的一时期债务存量,一时期后连本带利(以名义利率ih计算的利息)一同偿还——母公司在t时期按价格购买的新资本品存量——子公司在t时期按价格购买的新资本品存量——母公司的扣除变动投入的产出,只取决于母公司的活动,按产出价格估价——子公司的扣除变动投入的产出,只取决于子公司的活动,按产出价格估价

E——在t时期末的汇率(假定t时期伊始的汇率为1)

除了税收变量在上一节已有定义外,这里还要界定母公司和子公司的应税利润

母公司:

子公司:

式中各符号的经济含义是:——从税收角度来看t时期末母公司资本存量的净值

βh——在居住国投资成本在发生的当年可抵税的比例

δTh——在居住国以后可享有的折旧扣除率——从税收角度来看t时期末子公司资本存量的净值

βa——在来源国投资成本在发生的当年可抵税的比例

δTa——在来源国以后可享有的折旧扣除率

资本存量的变化方程式是: (15)

最后,企业的融资政策要有一些约束条件。假定母公司和子公司的债务-股本比率不变,分别为bh和ba

假定母公司和子公司新发行的股票在公司股票价值增加(Vt+1-Vt)中所占比例不变,分别为ah和aa:这意味著保留收益和新发行股票总是成一定比例。

为了使这些假设条件可行,还需要进一步假定子公司的价值是母公司价值的一定比例(d)。

因此,这些条件可以写成:

母公司:

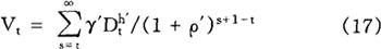
式中,是子公司在t时期伊始的股票价值。把此式代入资本市场均衡条件式(10),就可得到下列企业价值Vt最大化的表达式:

s=t

(17)式表示母公司的股票价值等于已完税实际流量的贴现值。名义贴现率ρ′是融利率、税收变量、汇率以及融资约束参数为一体。下面,考察四种情况:

情况A:

只有国内投资:d=0。

情况B:

只有以子公司的保留收益融资的跨国投资:d=1,aa=ba=0。

情况C:

只有以母公司提供的新股票融资的跨国投资:d=1,aa=1,ba=0。

情况D:

只有以母公司提供的债务融资的跨国投资:d=1,aa=0,ba→∞

然而,就A、C、D这三种情况而言,母公司也有可能以下列三种方式之一为投资融资:

情况1:保留收益,aa=bh=0。

情况2:新股票,ah=1,bh=0。

情况3:债务,ah=0,bh→∞

有关这10种不同情况的ρ′值如表1所示。

表1 不同融资方式下公司的贴现率

在表1中,ρ=[(1-m1)ih-zπ]/(1-z),γ=[(1-md)(1-zhd)]/[(1-z)(1+σh)(1-zhr)]。

γ有时也称为“税收差异变量”,表明母公司中保留收益与新股票资金之间的差异。是对子公司向母公司支付的利息征收的有效总税收,等于在居住国的应纳税额加上预提税,减去在来源国获得的利息免除,所以,

σ*′=σ*′(1-zad)/(1-zar)

有关表1的内容需要指出以下几点。

第一,情况A等同于金和富勒顿对公司贴现率的表述。第二,按照这里所作的假设,情况B等同于国内情况,这时的保留收益是边际融资来源。这是哈特曼(Hartmann,1985)结果的映射,贴现率高于情况C,这反映出来源国对汇回给母公司的利润征收的预提税(这显然在国内情况下被避免了,而且在情况B情况下也被避免了,因为子公司保留收益)。在情况D下,基本贴现率与情况C的相同。

然而,在这种情况下,还存在著一个额外项,此项反映出来源国对支付给母公司的利息的税收减免以及该利息的应税额(预提税和居住国税)。需要指出的是,只有当子公司用来自母公司的债务或新股票融资时,汇率才是重要的。

4.资本成本

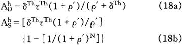
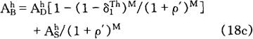
投资品的国内价格在每一时期按比率πh提高,来源国的投资品价格在每一时期按比率πa提高。t时期伊始的汇率以及在这两个国家的t时期内的投资品价格和产成品价格都设定为一。按照金和富勒顿所使用的符号,居住国的一单位资本折旧扣除的现值用Aσh表示,(18a)式表示的是余额递减法,(18b)式表示的直线折旧法:

式中的N是折旧扣除年限。

在有些国家,很可能从余额递减折旧制度转向直线折旧制度。

如果余额递减制度的折旧率是并使用M年,在直线折旧制度下再使用N年,那么,折旧扣除的现值是:

对于来源国而言,

Aa=EδTaτar(1+ρ′)/[(1+ρ′)-E(1-δTh)] (19a)

Aa=[EδTaτar(1+ρ′)/(1+ρ′-E)][1-EN/(1+ρ′)N] (19b)

通过使企业价值Vt最大化找到资本成本。从边际角度来看,资本成本等于边际资本产量。

利用(18)式和(19)式所给定的定义,国内投资的资本成本(ph)和跨国投资的资本成本(pa)可以写作:

ph=[(1-Ah)/(1-τhr)(1+πh)][ρ′-πh+δ(1+πh)]-δ (20)

pa=[(1-Aa)/(1-τar)E(1+πa)][(1+ρ′)-(1-δ)E(1+πa)]-δ (21a)

假定按照购买力平价理论,E=(1+πh)/(1+πa),那么,(21a)也可以写成:

pa=[(1-Aa)/(1-τar)(1+πh)][ρ′-πh+δ(1+πh]-δ (21b)

当存货按照先进先出法估价时,还要加一项存货投资,这是因为存货价值因通货膨胀而增加都要征税。倘若使用的是后进先出法,这种情况就不会发生。

如果v代表按先进先出法估价的存货比例,那么,(20)式和(21a)式就变为:

ph=[(1-Ah)/(1-τhr)(1+πh)][ρ′-πh+δ(1+πh)]+[vτhrπh/(1-τhr)(1+πh)]-δ (20b)

pa=[(1-Aa)/(1-τar)E(1+πa)][(1+ρ′)-(1-δ)E(1+πa)]+[Evτarπa/(1-τar)E(1+πa)]-δ (21b)。【参考文献】:

国内投资有效税率的测定:金-富勒顿方法(Measurement of Effective Tax Rates on Domestic Investment:

The King-Fullerton Methodology)

Alworth, J. S., 1988, The Finance, Investment and Taxation Decisions of Multinationals, Basil Blackwell.

Hartmann, D. G., 1985, Tax Policy and Foreign Direct Investment, Journal of Public Economics.

Keen, M. J., 1990, Corporation Tax, Foreign Direct Investment and the Single Market, University of Essex.

King, M. A. , 1974, Taxation and the Cost of Capital, Review of Economic Studies 41.

King, M. A., 1977, Public Policy and the Corporation, Chapman and Hall.

King, M. A. and D. Fullerton, 1984, The Taxation of Income from Capital: A Comparative Study of the US., UK, Sweden and West Germany, Chicago University Press.

Sorensen, P. B., 1990, Taxation and the Cost of Capital in Foreign Direct Investment, University of Copenhagen.

随便看

 

离鸟网收录3541549条中英文词条,其功能与新华字典、现代汉语词典、牛津高阶英汉词典等各类中英文词典类似,基本涵盖了全部常用中英文字词句的读音、释义及用法,是语言学习和写作的有利工具。

 

Copyright © 2004-2024 vtrois.com All Rights Reserved
更新时间:2026/4/20 13:45:02