网站首页  词典首页


请输入您要查询的字词:

 

字词 固定构成指数
类别 中英文字词句释义及详细解析
释义 固定构成指数

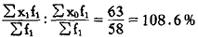
固定构成指数在总平均数变动中,固定各组比重,用以表明各组水平的变动对总平均数变动的影响的指数。其公式及计算如下(计算资料见表13-5):

随便看

 

离鸟网收录3541549条中英文词条,其功能与新华字典、现代汉语词典、牛津高阶英汉词典等各类中英文词典类似,基本涵盖了全部常用中英文字词句的读音、释义及用法,是语言学习和写作的有利工具。

 

Copyright © 2004-2024 vtrois.com All Rights Reserved
更新时间:2026/4/19 1:36:14