网站首页  词典首页


请输入您要查询的字词:

 

字词 回收水泥包装纸的除尘及其辅助设备的选型计算实例
类别 中英文字词句释义及详细解析
释义 回收水泥包装纸的除尘及其辅助设备的选型计算实例

【例】某厂用回收水泥袋纸生产再生水泥袋纸。备料系统采用打灰机、清灰机、旋风除尘器、脉冲袋式除尘器组成,其工艺流程如图1-1-3。

1-喂料口 2-打灰机 3-清灰机 4-集尘室 5-旋风除尘器 6-脉冲布袋除尘器 7-引风机

已知:喂料吸风口距集尘室10m(L1),打灰机吸风口距集尘室10m(L2),清灰机吸风口距集尘室7.25m(L3),其它条件见后,试校正三条管道的直径并选择旋风除尘器、袋式除尘器以及风机的型号。

解:三条管道的直径的平衡校正要根据各自的压损来平衡;旋风除尘器的选择可根据通风量进行;袋式除尘器的选择可根据过滤面积来选择;风机的选择则要根据风量和风压两项进行,而风机的风压要涉及到前面的所有设备,所以,各部计算均需计算压力损失。

1.三条管道通风量的确定及平衡校正

❶ 喂料口吸风量及吸风管阻力计算

根据敞开式吸尘罩特点,选取喂料口吸风速度为1m/s,吸风口尺寸为950×950mm,管内空气的容重为1.2kg/m3,管道内除尘选用空气流速为18m/s,则计算如下。

a.吸风量的计算

b.直管阻力计算

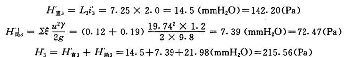
由d1=250mm,u=18m/s,查表2-5-10得水力坡度i1=1.45mmH2()/m,所以,直管阻力H直1=i1L1=1.45×10=14.5(mmH2O)=142.2(Pa)

c.局部阻力计算

已知吸风罩角度α=60°,查表2-5-20 得ξ=0.12;管路中采用一个弯头,五节弯管,角度α=90°,R=2d,查表2-5-20得ξ=0.19,因此,∑ξ=0.12+0.19=0.31,则局部压损为:

d.喂料口吸风管总阻力计算

❷ 打灰机风量确定及吸风管路阻力计算

打灰机选用密封式气罩,由于打灰机是粉尘最集中的地方,所以密闭气罩面积选用5.5m2,漏风面积为0.5m2,漏风处吸风速度选V=4m/s.

a.风量的确定

b.直管阻力计算

选用d2=370mm。

查表2-5-10得水力坡度i2=0.9(mmH2O/m)

c.局部阻力计算

吸风罩角度选用α=60°,则ξ=0.12;90°弯头一个,五节弯管,R=2d,则ξ=0.19;吸气三通处阻力系数选用ξ=0.3,则

d.总阻力计算

❸ 清灰机吸风量确定及管路阻力计算。

清灰机为一圆台形筛鼓转体,安装在半封闭室内。废纸出口处为开口输送机,开口面积为1.5m2,考虑到经打灰机及清灰机处理后的粉尘含量已大为降低,并且开口面积较大,所以选用吸风速度V=0.5m/s.

a.吸风量的计算

❹ 三条管道的平衡校正

从以上三条支管阻力计算结果看出.喂料口与打尘机管路阻力相差很小,为了使清灰机管路阻力与另两条管路阻力平衡,必须增大阻力。根据压损与管径的关系:

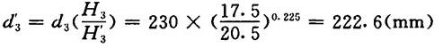
对于4〈n〈5,取=0.225,则清灰机管路调整后的管径为:

=220mm。

调整后清灰机吸风管路压损计算:

根据=220mm,=19.74m/s,查表2-5-10得=2.0mmH2O/m,则,

所以,清灰机吸风管路调整后,三条管路压损差巳在允许范围之内(〈10%)。

2.旋风除尘器选型及阻力计算

❶ 选型计算

总风量Q=Q1+Q2+Q3

选择d=510(mm),则

根据风量,选择旋风除尘器型号CLT/A-Y型。当风速为18m/s时,处理风量为7130m3/h,因此,选择2台并联使用,已能达到要求。

❷ 阻力计算

a.集尘室阻力计算

进集尘室的阻力。以三路支管中风速最高一路作计算依据,ξ=0.4.

出集尘室阻力。出口处采用渐缩管,α=60°ξ=0.44。

b.集尘室到旋风分离器管路阻力计算

集尘室到旋风除尘器的管子长度为3米,据d=510mm,u=17.89m/s,查表2-5-10得i=0.72mmH2O/m。

c.旋风除尘器阻力计算

旋风除尘器型号为CLT/A-Y型,ξ=5.0,进口尺寸为400×200mm,则,

d.总阻力的计算

3.袋式除尘器的选型及阻力计算

❶ 确定过滤风速

根据规定,使用脉冲喷吹过滤风速,一般在3~4m/min范围内,考虑到水泥粉尘相对密度大,设计时选取过滤风速V=3.2m/min。

❷ 过滤面积的计算

❸ 选型

选择OMC——96型,滤袋个数为96个,过滤面积为72米2,巳能满足要求。

❹ 阻力计算袋式除尘器的压力损失H5=110(mmH2O)=1078.77(Pa)。

4.风机选型

❶ 除尘系统最不利阻力计算

❷ 风机风量确定

根据风量计算值附加10%,则确定风机风量为:

❸ 风机风压的确定

根据风压计算值附加15%,则确定风机风压为:

故选择风机型号为C4—73—11。该机的性能为:Q=10600~19350m3/h;H=374~222mmH2O,电机功率为22kW。

随便看

 

离鸟网收录3541549条中英文词条,其功能与新华字典、现代汉语词典、牛津高阶英汉词典等各类中英文词典类似,基本涵盖了全部常用中英文字词句的读音、释义及用法,是语言学习和写作的有利工具。

 

Copyright © 2004-2024 vtrois.com All Rights Reserved
更新时间:2026/4/18 3:19:36