网站首页  词典首页


请输入您要查询的字词:

 

字词 回归预测决定系数
类别 中英文字词句释义及详细解析
释义 回归预测决定系数

亦称“判定系数”。

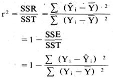
回归离差平方和与总离差平方和的比值,以r2表示。用来衡量回归直线对样本数据点拟合优劣程度的量度。其数值范围在0与1之间。在回归分析中,如以因变量的平均值作为对各数据点Yi的拟合线,这样在各实际值Yi与其平均值之间所形成的离差称为总离差。它可以分解为两部分,其中一部分,是由回归直线作出解释的部分,称为回归离差;另一部分,是由于随机因素的影响所形成,不是回归直线所能解释的部分,称为剩余误差。全部n个数据点的Y之间的总离差及其回归离差和剩余误差可由这些离差的平方和概括为下式:

总离差平方和(SST)=回归离差平方和(SSR)+剩余误差平方和(SSE)。决定系数r2的定义公式为:

以上式中的回归离差平方和与剩余误差平方和是互为消长的。如果变量Y与X之间的线性关系显著,因变量Y的各实际值都落在回归直线上,这时,,则r2=1,说明回归直线的拟合优度高,估计值和实际值完全拟合,总离差平方和完全由解释变量对Y的回归关系所说明。

反之,如果b=0,,这时,而则r2=0,说明回归直线的拟合程度很差,在总离差平方和中,没有任何部分能由解释变量X来说明。当0<r2<1时,表明在不同程度上总离差平方和的相当部分,由解释变量X与Y的线性关系所说明,而其它部分,则非解释变量X所能判定。

随便看

 

离鸟网收录3541549条中英文词条,其功能与新华字典、现代汉语词典、牛津高阶英汉词典等各类中英文词典类似,基本涵盖了全部常用中英文字词句的读音、释义及用法,是语言学习和写作的有利工具。

 

Copyright © 2004-2024 vtrois.com All Rights Reserved
更新时间:2026/4/18 0:50:34