网站首页  词典首页


请输入您要查询的字词:

 

字词 回归系数
类别 中英文字词句释义及详细解析
释义 回归系数

统计学上表示一个随机变量与另一随机变量间依赖关系程度的一个统计参数。

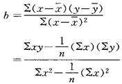
当两个变数x和y的坐标点呈直线型时,可从x的数量变化而预测或估计y的数量变化。表达式:

y=a+bx

式中的b即为回归系数。其意义是,x每增加一个单位数时,平均地将会增加b>0或减少b<0个单位数。

随便看

 

离鸟网收录3541549条中英文词条,其功能与新华字典、现代汉语词典、牛津高阶英汉词典等各类中英文词典类似,基本涵盖了全部常用中英文字词句的读音、释义及用法,是语言学习和写作的有利工具。

 

Copyright © 2004-2024 vtrois.com All Rights Reserved
更新时间:2026/4/18 16:35:10