网站首页  词典首页


请输入您要查询的字词:

 

字词 回归系数
类别 中英文字词句释义及详细解析
释义 回归系数

【释文】:

是指回归方程式中自变量的倍数,它是平衡因变量幅度的一个统计参数。

如:在一元直线回归方程式y=a+bx中,b作为自变量x的倍数就是回归系数。其意是指因变量y对自变量x的平均变动比率,即当x变动一个单位时,y平均变动b个单位。

回归系数b是可以计算的,其计算公式根据资料的分组情况而有所不同。

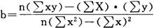
对于未分组的原始资料计算回归系数其公式为:

式中,x代表自变量的各个观测值,y代表因变量的各个观测值,n为观测值的个数,即统计样本的个案数,∑代表连加符号,即总和。

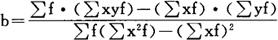
对于已分组的次数资料计算回归系数其公式为:

式中,f代表各组变量值的Ψ次数,即权数或频数,其它符号与上式同。

随便看

 

离鸟网收录3541549条中英文词条,其功能与新华字典、现代汉语词典、牛津高阶英汉词典等各类中英文词典类似,基本涵盖了全部常用中英文字词句的读音、释义及用法,是语言学习和写作的有利工具。

 

Copyright © 2004-2024 vtrois.com All Rights Reserved
更新时间:2026/4/17 21:18:59