回归分析法
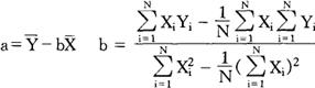
从被预测变量和与它有关的解释变量之间的因果关系出发,预测经济过程未来发展的一种定量方法。 当事物之间具有确定关系时,变量间就表现为某种函数关系。而有些事物,虽然它们之间有著密切的联系,但并不能准确地用一个函数确定事物间的关系,例如年级与学生年龄间的关系,虽然有年级越高,年龄越大的趋势,但并不能由年级精确的确定学生年龄,这种事物间不确定的关系称这些事物间具有相关关系。具有相关关系的变量虽不能用准确的函数把它们之间的关系表达出来,然而却可以通过大量的实际数据的统计分析,找出各相关因素的内在规律,从而近似地确定出变量间的函数关系。这是回归分析的基本思想与方法。 回归分析法包括一元线性回归分析、多元线性回归分析以及非线性回归分析。回归分析法以事物发展的因果关系为基础,因而一般较准确。举例说明如下: 某地区从1991~1995年的化肥用量与作物产量如表11-5: 表11-5 由图11-7可假设X与Y的关系为Y=a+bX,a、b为待定参数。 按最小二乘法求a、b。 设 为X值的平均,Y为Y值的平均,则  将上例数据代入可得a=34.32,b=0.29 所以回归关系方程为:Y=34.32+0.29X。 |