网站首页  词典首页


请输入您要查询的字词:

 

字词 回归分析
类别 中英文字词句释义及详细解析
释义 回归分析

研究随机的相互关系的主要方法。

它能描述自变量与因变量之间的关系的特点、揭示自变量如何影响因变量的机制,预测或控制因变量未来变化的过程,即从一定的因变量如何控制自变量。

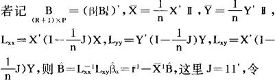
设y(i)=(yi1yi2…yiip),Y=(y′(1)y′(2)…y′(n))′为P维多元数据的n个观察值y(1),y(2),…,y(n)的RXP矩阵,并能表示为:(1)Y=(ⅡX)β+ε,此处I=(1

1…1)′,X为已知说明变量的nαk矩阵,β是未知参数的(R+1)×p矩阵和ε是误差变量的nαp矩阵。我们假定,(1)ε的均值Eε=0。(2)ε的各行向量ε(1),ε(2),…ε(n)为相互独立的随机变量且同分布。

(3) ε(i)服从具有相同的协差阵V>0的分布。那么β的最小二乘法估计量可以定义为使为最小的(R+1)×P矩阵,并当(ⅡX)′(ⅡX)≠0时

β=〔(IX)′(ⅡX)〕-1(ⅡX)′Y

,则分别是β0,B,V的无偏估计量,若再假定:ε的各行向量服从p维正态分布,和Q为完备的充分统计量,从而为最小方差无偏估计量,与Q独立,从正态分布,Q服从自由度为n-R-1的维希特分布。

对于一般情况下回归系数的检验,考虑模型:R=R1+R2,n>R+1,独立,同协差阵V,且服从正态分布。为检验H0:B2=0令:

,此处,C1=(ⅡX1),PC1为C1列向量张成的子空间上的投影阵。

若假设H0成立,则QΩ与QH0-QΩ独立地服从自由度为n-k-1和K2的维希特分布。

否则服从非中心维希特分布。令,当H0:B2=O成立时。u就是维希特统计量:A(ρ,n-R-1,R2)。

由此可以给出它的临界域。

随便看

 

离鸟网收录3541549条中英文词条,其功能与新华字典、现代汉语词典、牛津高阶英汉词典等各类中英文词典类似,基本涵盖了全部常用中英文字词句的读音、释义及用法,是语言学习和写作的有利工具。

 

Copyright © 2004-2024 vtrois.com All Rights Reserved
更新时间:2026/4/17 20:56:24