网站首页  词典首页


请输入您要查询的字词:

 

字词 四通阀控马达
类别 中英文字词句释义及详细解析
释义 四通阀控马达

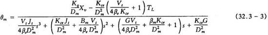
四通阀控马达回路图见图32.3-3。其传递函数与四通阀控缸完全一样,只是输出的直线位移变为角位移而已。

传递函表达式为

式中 Qm——马达输出角位移;

Dm——马达每弧度排量;

Bm——总的粘性摩擦系数;

G——负载扭转弹簧刚度;

TL——作用于马达轴上的负载力矩。

其余参数的意义见式(32.3-1)

一般来说,马达腔的容积Vt小于缸的总容积,所以一般阀控马达的动特性要好于阀控缸。

随便看

 

离鸟网收录3541549条中英文词条,其功能与新华字典、现代汉语词典、牛津高阶英汉词典等各类中英文词典类似,基本涵盖了全部常用中英文字词句的读音、释义及用法,是语言学习和写作的有利工具。

 

Copyright © 2004-2024 vtrois.com All Rights Reserved
更新时间:2026/4/18 8:39:18